Belajar Itu Mudah

Perkalian 1 Sampai 1000 Berwarna


Tabel Pengurangan 1 Sampai 10 100 Lengkap
www.matematika.anaktoraja.com

Aimyaya Dot Com Perkalian 1 Sampai 10
www.aimyaya.com

10 Gambar Tabel Perkalian 1 Sampai 10 Gambar Top 10
gambartop10.blogspot.com

2

Sistem Bilangan Biner Wikipedia Bahasa Indonesia Ensiklopedia Bebas
id.wikipedia.org

2

2

Perkalian 1 Sampai 1000 Berwarna
belajarbarengmudah.web.app

Olimpiade Sd Kelas 5 6
dokumen.tips

Matematika Diskret Kombinatorial Permutasi Sebuah Mobil Mempunyai 4 Tempat Duduk Berapa Banyak Cara 3 Orang Didudukkan Jika Diandaikan Satu Orang Harus Duduk Di Kursi Sopir Pdf Document
fdokumen.com

Jual Poster Angka Di Jawa Tengah Harga Terbaru 2020
www.tokopedia.com

Http Download Garuda Ristekdikti Go Id Article Php Article 1198711 Val 8617 Title Travel 20time 20tomography 20menggunakan 20data 20seismik 20interferometri 20untuk 20menggambarkan 20model 20kecepatan 20gelombang 20pada 20lapangan 20 X

Panduan Sportsbook Situs Judi Bola Online Di Sbobet Situs Judi Online
128.199.138.199

Perkalian 1 Sampai 10 Wood Scribd Indo
woodscribdindo.blogspot.com

Pembagian 1 10
recherche-et-innovation.fr

Https Www Bukalapak Com P Fashion Pria Perhiasan Aksesoris 170 1l9sfh8 Jual Tumi Harrison Seneca Slim Brief Iron Termurah 2019 06 20 Https Www Bukalapak Com P Hobi Koleksi Pet Food Stuff Makanan Hewan Peliharaan 1l9sfhd Jual Promo Pakan Ikan
s0.bukalapak.com

3 Cara Untuk Membuat Fungsi Perkalian Dengan Excel Wikihow
id.wikihow.com

1 Matematika Try Out
id.scribd.com

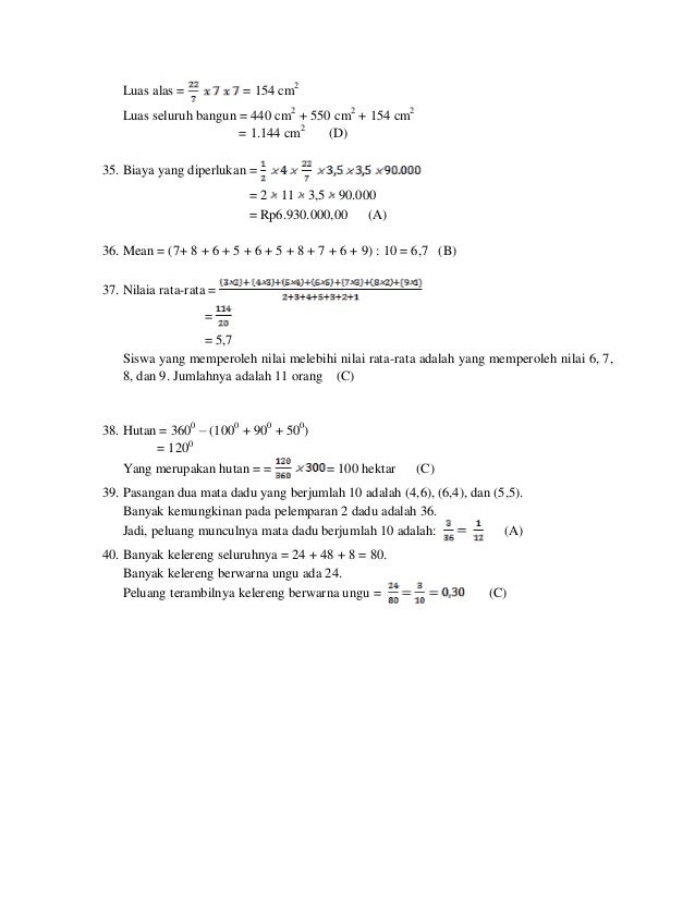
Aimyaya Dot Com Perkalian 1 Sampai 10
www.aimyaya.com

Tabel Penjumlahan Dan Tabel Pengurangan Terlengkap Kedai Mipa
www.allmipa.com

Https Apps Who Int Iris Bitstream 10665 42295 4 9241545305 Ind Pdf

Produk Termurah Jarimatika Metode Berhitung Lebih Cepat Shopee Indonesia
shopee.co.id

Trik Mudah Hafalkan Perkalian Yang Tak Diajarkan Di Sekolah Feed Merdeka Com
m.merdeka.com

Pembagian Tabel Pembagian Dan Cara Pembagian Bersusun
www.advernesia.com

Https Apps Who Int Iris Bitstream 10665 42295 4 9241545305 Ind Pdf

Download Tabel Perkalian Terlengkap Belajar Matematika
belajar-soal-matematika.blogspot.com

Mengalikan Dengan Persentase Excel
support.microsoft.com

Perkalian 1 Sampai 10 Download Tabel Perkalian Berwarna
www.matematika.anaktoraja.com

Pdf Soal Dan Pembahasan Olimpiade Matematika Sandi Apriadi Academia Edu
www.academia.edu

Tabel Perkalian 1 Sampai 1000 Bisa Di Download Gratis Youtube
www.youtube.com

Http Repository Ut Ac Id 4821 1 Ekma4413 M1 Pdf

Kirimkan Foto Tabel Perkalian 1 Sampai 1000 Brainly Co Id
brainly.co.id

Metode Cepat Membaca Nilai Resistor Moedahgamand
moedahgamand.wordpress.com

Doc Materi Tpa Hitung 1 Maggie Amaliza Academia Edu
www.academia.edu

Soal Pengayaan Matematika Un 2016
www.slideshare.net

Matematika Perkalian 1 Sampai 1000
belajarbarengs.web.app

Gambar Tabel Perkalian 11 Sampai 20
belajarbarengmudah.web.app

Matematika Tabel Perkalian 1 Sampai 1000 Lengkap
belajarbarengs.web.app

Bilangan Laman 3 Excel In Aja
excelinaja.wordpress.com

Aimyaya Dot Com Perkalian 1 Sampai 10
www.aimyaya.com

Https Encrypted Tbn0 Gstatic Com Images Q Tbn 3aand9gcteuiejktygpk2cp 1lup Ix5t8mv5zw0gydq Usqp Cau

Tabel Perkalian 11 Sampai 20
belajarbarengmudah.web.app

Soal Project Euler Wikimedia Id Github Io
wikimedia-id.github.io

Kirimkan Foto Tabel Perkalian 1 1000 Youtube
www.youtube.com

37 Matematika Diskrit Syafrudin M Top Academia Edu
www.academia.edu

Buku Siswa Sma Kelas 11 Matematika Semester 2 2014
www.slideshare.net

Panduan Dan Contoh Rumus Array Dukungan Office
support.microsoft.com

Dengan Uang Rp 1000 00 Julia Akan Mendapatkan 6 Permen Dengan Sisa Uang Rp 100 00 Pdf Download Gratis
docplayer.info

Tabel Pembagian Terlengkap Dan Jelas Kedai Mipa
www.allmipa.com

Tabel Pembagian 1 Sampai 10 100 Lengkap
www.matematika.anaktoraja.com

Jual New Buku Inti Materi Ips Ilmu Pengetahuan Sosial Sma 10 11 12 Kota Yogyakarta Panjiadiputra Tokopedia
www.tokopedia.com

Https Encrypted Tbn0 Gstatic Com Images Q Tbn 3aand9gcsjclci0pdwc Im7uope8o Snsl83bpo2pvrhygc9gxygzng4u5 Usqp Cau
encrypted-tbn0.gstatic.com

Perkalian 1 Sampai 1000 Tabel Perkalian 1 20
www.matematika.anaktoraja.com

Kombinatorial Ppt Download
slideplayer.info

Olimpiade Sains Nasional Osk Osp Osn Smp 2003 2016
id.123dok.com

Tangkapan Layar Gcompris
www.gcompris.net

Tabel Perkalian 11 Sampai 20
belajarbarengmudah.web.app

Bab 9 Peluang Diskrit Pdf Download Gratis
docplayer.info

Saat Siswa Menjadi Detektif Cari Jawaban Matematika Halaman All Kompas Com
edukasi.kompas.com

Jual 1 Lembar Meja Perkalian Stiker Stiker Dinding Dekoratif Dinding Decals Pendidikan Meja Operasi Twinsmamall
www.jd.id

Tabel Perkalian Pembagian
id.scribd.com

Unduh Download Perkalian 1 Sampai 10 Format Pdf
www.penajam.com

Https Encrypted Tbn0 Gstatic Com Images Q Tbn 3aand9gctcggny6c07wywyyo7ydmjws Kcrh4cdllnfkzklfxsa If97bt Usqp Cau
encrypted-tbn0.gstatic.com

Https Apps Who Int Iris Bitstream 10665 42295 4 9241545305 Ind Pdf

Tabel Pembagian 1 Sampai 10 100 Lengkap
www.matematika.anaktoraja.com

Https Encrypted Tbn0 Gstatic Com Images Q Tbn 3aand9gcqyc Nuuu5d2mtalwwb0qgyijhswn41zgauhr5a2m0ibnk0vocf Usqp Cau
encrypted-tbn0.gstatic.com

Kombinatorial Ppt Download
slideplayer.info

Cara Membuat Tabel Di Excel Berwarna Otomatis Mudah Semutimut Tutorial Hp Dan Komputer Terbaik
www.semutimut.com

2

Perkalian 1 Sampai 200
belajarbarengmudah.web.app

Olimpiade Sains Provinsi Osp 2018 Komputer Kujawab
www.kujawab.com

Tabel Penjumlahan Dan Tabel Pengurangan Terlengkap Kedai Mipa
www.allmipa.com

Https Encrypted Tbn0 Gstatic Com Images Q Tbn 3aand9gcrnlkel6 Lox4vlyv8w8jargnzyb Duitkc94yfama Usqp Cau
encrypted-tbn0.gstatic.com

Perkalian 1 Sampai 1000 Berwarna
belajarbarengmudah.web.app

Mug2a3 Matematika Diskrit Ppt Download
slideplayer.info

Aimyaya Dot Com Perkalian 1 Sampai 10
www.aimyaya.com

Http Www Journal Uinjkt Ac Id Index Php Al Fiziya Issue Download 917 Vol 2 No 2 Tahun 2019

10 Gambar Tabel Perkalian 1 10 Berwarna Lengkap Download
www.anaktoraja.com

Aimyaya Dot Com Perkalian 1 Sampai 10
www.aimyaya.com

Olimpiade Sains Provinsi Osp 2016 Komputer Kujawab
www.kujawab.com

Aphenk The Bluez Laman 34
666aphenk.wordpress.com

Perkalian 1 Sampai 1000 Tabel Perkalian 1 20
www.matematika.anaktoraja.com

Tabel Perkalian 1 Sampai 1000 Bisa Di Download Gratis Youtube
www.youtube.com

Https Ejournal Unsri Ac Id Index Php Ptm Article Download 5328 2876

Perkalian 1 Sampai 10 Wood Scribd Indo
woodscribdindo.blogspot.com

Pembagian Tabel Pembagian Dan Cara Pembagian Bersusun
www.advernesia.com

Revisi 1 Pengantar Probabilitas Dan Teori Peluang
studylibid.com

Perkalian 1 1000
id.scribd.com

Soal Project Euler Wikimedia Id Github Io
wikimedia-id.github.io

3 Cara Untuk Membuat Fungsi Perkalian Dengan Excel Wikihow
id.wikihow.com

Tabel Perkalian Pembagian Download As Pdf File Pdf Text File Txt Or Read Online Kids Math Worksheets Office Word Math For Kids
www.pinterest.com

Tabel Perkalian 11 20
belajarbarengmudah.web.app

Cara Membuat Tabel Di Excel Berwarna Otomatis Mudah Semutimut Tutorial Hp Dan Komputer Terbaik
www.semutimut.com

Belajar Tabel Perkalian 1 Sampai 100 Berwarna Super Lengkap
www.matematika.anaktoraja.com

Soal Project Euler Wikimedia Id Github Io
wikimedia-id.github.io

Matematika Laman 9 Excel In Aja
excelinaja.wordpress.com

Belajar Perkalian 1 Sampai 20 Dengan Tabel Perkalian
www.matematika.anaktoraja.com

Menghafal Perkalian 1 100 Mudah Dengan Tabel 4 Youtube
www.youtube.com

Tabel Pembagian 1 Sampai 100 Lengkap Rumusrumus Com
rumusrumus.com

Trik Mudah Hafalkan Perkalian Yang Tak Diajarkan Di Sekolah Feed Merdeka Com
m.merdeka.com

10 Gambar Tabel Perkalian 1 Sampai 10 Gambar Top 10
gambartop10.blogspot.com

2

Hahahahaha Saya Sedang Iseng D Page 3 Erwinandreastumengkol
erwinandreastumengkol.wordpress.com

Soal Project Euler Wikimedia Id Github Io
wikimedia-id.github.io

close