Belajar Itu Mudah

Ordo 2 X 3


Ini Perkalian Matriks Tolong Jawab Beserta Cara Mengerjakannya Brainly Co Id
brainly.co.id

Amazon Com Stickers Decal Masonic Symbol Novus Ordo Seclorum Annuit Coeptis Symbol Car Window Jet Ski 3 X 3 In Kitchen Dining
www.amazon.com

Perkalian Matrik Ordo 2x3 Tolong Dong Beserta Caranya Brainly Co Id
brainly.co.id

Rampora Solution S Perkalian Vector 2 Elemen Dengan Matriks Ordo 2x3 Dan Vector 3 Element
rampora.blogspot.com

Stellarum Ordo Solaris A Map Of Our Solar System Rug By Antoninoognissanti Society6
society6.com

Matrix Ppt Download
slideplayer.com

Diketahui Persamaan Matriks 2 3 1 2 X 10 12 9 1 Dengan X Ordo 2x2 Matriks X Brainly Co Id
brainly.co.id

Ordo Ab Chao 2 Greeting Card By Martymagus1 Redbubble
www.redbubble.com

Tak Ada Dikotomi Operasi Perkalian Matriks
takadadikotomi.blogspot.com

Ordo Sonic Toothbrush
www.ordolife.com

A Invers Perkalian Matriks A A Invers Perkalian Matriks Ordo 2x 2 Kelas Xii Semester 5 M A T R I K S 3 Peta Konsep 3 Menentukan Determinan Matriks 4 Menentukan Matriks
pdfslide.tips

Determinan Matriks Ordo 2x2 3x3 Nxn Dan Contoh Soalnya
rumus.co.id

Ordo Sonic Review Electric Teeth
www.electricteeth.com

2

Operasi Matriks
www.slideshare.net

Sf 1rqgopu95tm

Cara Mengerjakan Determinan Matriks 2x2 Guru Ilmu Sosial
www.ilmusosial.id

Tak Ada Dikotomi Operasi Perkalian Matriks
takadadikotomi.blogspot.com

Big O Notation Wikipedia
en.wikipedia.org

Contoh Program C Array Dimensi 2 Matriks Ordo 2 3 Dengan 2 3 Cute766
cute766.info

Cara Mengerjakan Determinan Matriks 2x2 Guru Ilmu Sosial
www.ilmusosial.id

Invers Matriks Ordo 2 X 2 Simpel Mudah Enteng Ndak Bikin Pusing Samasaya Belajardarirumah Youtube
m.youtube.com

Transpose Matriks Ordo 2x3 Dan Determinan Ordo 2x2 Menggunakan Freemath Youtube
www.youtube.com

Matrix Ppt Download
slideplayer.com

Http Thomasaquinas Edu Sites Default Files Pdf Aquinas Review Social Doctrine Conference Sched14 Pdf

Perkalian Matriks Invers Transpose Pengertian Dan Jenisnya
www.dosenpendidikan.co.id

Solved Showing That Y Belongs In The Span Of B Basically Chegg Com
www.chegg.com

Contoh Penjumlahan Matriks 2x3 Brainly Co Id
brainly.co.id

Ordo Hasil Perkalian Matriks Berikutt Adalah Brainly Co Id
brainly.co.id

Cara Mengerjakan Invers Matriks Ordo 2x2 Guru Ilmu Sosial
www.ilmusosial.id

Peta Konsep Peta Konsep A Invers Perkalian Matriks Ordo 2 X 2 Ppt Download
slideplayer.info

Matrix Invers Tranpose Determinant 2x2 3x3 Xii Science Ln
www.slideshare.net

Program Perkalian Matrik Ordo 2 3 Dengan C Mhd Iqbal
mhdiqbal21.wordpress.com

Kelas 12 Yuk Belajar Matriks Dan Contoh Soalnya Di Sini
www.quipper.com

Mayhem Ordo Ad Chao Woven Sew On Patch 3 X 4 The Blacklight Zone
www.theblacklightzone.com

Cara Mencari Determinan Matriks Yang Mudah Kelas Pintar
www.kelaspintar.id

2iitmr0serd5km

Doc Matriks Materi Dachami 02 Academia Edu
www.academia.edu

Transpose Matriks
laelitm.com

Fdnrurnuuvnw M

Cara Mudah Dan Benar Mengalikan Atau Perkalian Matriks Ordo 2x2 Dan Ordo 2x3 Youtube
www.youtube.com

Contoh Program Operasi Matriks Ordo 2x2 Menggunakan Python Gammafis Blog
www.gammafisblog.com

Stellarum Ordo Solaris A Map Of Our Solar System Rug By Antoninoognissanti Society6
society6.com

Kelas Xii Bab 3
www.slideshare.net

Bab 4 Matriks
www.slideshare.net

Cara Mengerjakan Determinan Matriks Guru Ilmu Sosial
www.ilmusosial.id

Komika1 Komik2019unsera Menentukan Invers Matriks A Dan Perkalian Matriks Ordo 2x3 Dan 3x2 Youtube
www.youtube.com

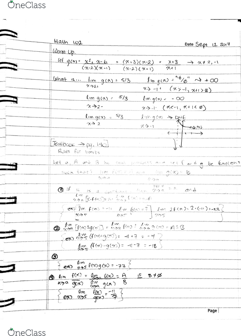
Math 102 Lecture 2 September 12 Oneclass
oneclass.com

Second Ordo Central Composite Design With Three Factors To Optimize Epa Download Table
www.researchgate.net

3 Determinan Staffsite Stimata
studylibid.com

Amazon Com Surya Artistic Weavers Arabia Nadine 2 X 3 Kitchen Dining
www.amazon.com

Cara Menyelesaikan Matrik Ordo 2 3 Dan Ordo 3 2 Brainly Co Id
brainly.co.id

Coding Sintak Pekalian Matrik Ordo 3x2 Dikali Matrik Ordo 2x3 Akan Menghasil Matrik Ordo 3x3 Youtube
www.youtube.com

Ordo Sonic Review Electric Teeth
www.electricteeth.com

Determinan Invers Matriks Ordo 2 X Ppt Download
slideplayer.info

Pc Ordo Missions Ordo Stores And Storage Community Neocoregames
neocoregames.com

2

Perkalian Matriks Invers Transpose Pengertian Dan Jenisnya
www.dosenpendidikan.co.id

Elemen Matriks Ordo Identitas Jenis Transpose Determinan Invers
www.yuksinau.id

Lp S123 158 Determinant Matrix Mathematics
www.scribd.com

2

2iitmr0serd5km

Determinan Matriks Ordo 2x2 3x3 Nxn Dan Contoh Soalnya
rumus.co.id

P Adalah Matriks Ordo 2x2 Yang Memenuhi Persamaantolong Jawab Pakai Jalan Plis Brainly Co Id
brainly.co.id

Perkalian Matriks 2 X 3
belajarbarengmudah.web.app

Cara Mengerjakan Invers Matriks 2x2 Guru Ilmu Sosial
www.ilmusosial.id

Tak Ada Dikotomi Operasi Perkalian Matriks
takadadikotomi.blogspot.com

Stellarum Ordo Solaris A Map Of Our Solar System Rug By Antoninoognissanti Society6
society6.com

Https Encrypted Tbn0 Gstatic Com Images Q Tbn 3aand9gcqrgdpklkzytivlon1wghapdkj13t8 Nn Kg2zaie4 Mvijjqsl Usqp Cau
encrypted-tbn0.gstatic.com

Heat Equation Ice Ice Thin Metal Rod Insulated Eve Chegg Com
www.chegg.com

Novus Ordo Seclorum Wikipedia
en.wikipedia.org

Curiousay 3 100 Days Of Productivity 8 12 17 Finally I Finished All My Math Notes Yay I Still Have A Math Notes Study Notes 100 Days Of Productivity
www.pinterest.com

A Invers Perkalian Matriks A A Invers Perkalian Matriks Ordo 2x 2 Kelas Xii Semester 5 M A T R I K S 3 Peta Konsep 3 Menentukan Determinan Matriks 4 Menentukan Matriks
dokumen.tips

1 Buatlah Matriks Yang Ordonya A 1 3 B 4 1c 3 1 D 2 3e 2 4f 2 2 G 3 2 H 3 3i 3 4 2 Brainly Co Id
brainly.co.id

Dua Buah Matriks A Dan B
www.slideshare.net

Belajar Matematika Online Perkalian Matriks
soulmath4u.blogspot.com

Buatlah Matriks Ordo 2 2 Dan 2 2 Dan Tentukan Determinannya Brainly Co Id
brainly.co.id

Amazon Com Stickers Decal Masonic Symbol Novus Ordo Seclorum Annuit Coeptis Symbol Car Window Jet Ski 3 X 3 In Kitchen Dining
www.amazon.com

Perkalian Matriks Ordo 2 X 2 Dan Matriks Ordo 2 X 3 Youtube
www.youtube.com

Kelas Xii Bab 3
www.slideshare.net

Https Royalsocietypublishing Org Doi Pdf 10 1098 Rsta 1984 0061

Invers Perkalian Matriks Ordo 2 X 2 Materi Lengkap Matematika
www.materimatematika.com

Mohon Bantuannya Kak Buat Ngerjain Soal Ini Karena Besok Un Brainly Co Id
brainly.co.id

Tugas
www.scribd.com

Determinan Dan Invers Matriks Ordo 2 Matematika Sbmptn Un Sma Matriks Unacademy
unacademy.com

Soal Dan Pembahasan Perkalian Matriks Unik Unek
unikunek.blogspot.com

Invers Perkalian Matriks Ordo 2 X 2 Materi Lengkap Matematika
www.materimatematika.com

Solved F X Y Cos 2x Y 3 Sin X Y A Find Linear Ord Chegg Com
www.chegg.com

Setting Up Final Submissions Ex Ordo Knowledge Base
support.exordo.com

2

Invers Matriks Ordo 2 X 2 Youtube
www.youtube.com

Kumpulan Soal Dan Pembahasan Perkalian Matriks
www.edutafsi.com

Perkalian Matriks Ordo 2x3 Dan 3x2 Youtube
m.youtube.com

Determinan Matriks Materi Determinan Contoh Soal Determinan Ppt Download
slideplayer.info

Pembelajaran Matematika Invers Matriks Berordo 2 X 2 Dan 3 X 3 Youtube
www.youtube.com

2

Determinan Matriks Dengan Berbagai Ordo Kedai Mipa
www.allmipa.com

Cyagkhllyzit2m

A Invers Perkalian Matriks A A Invers Perkalian Matriks Ordo 2x 2 Kelas Xii Semester 5 M A T R I K S 3 Peta Konsep 3 Menentukan Determinan Matriks 4 Menentukan Matriks
pdfslide.tips

Invers Perkalian Matriks Ordo 2 X 2 Materi Lengkap Matematika
www.materimatematika.com

Ordo Ab Chao 2 Greeting Card By Martymagus1 Redbubble
www.redbubble.com

close