Belajar Itu Mudah

Nilai B Adalah


Tahun 2019 Raih Nilai B Pemkab Rohul Targetkan Peningkatan Predikat Nilai Sakip Tahun 2020
mediacenter.rokanhulukab.go.id

Perhatikan Gambar Disamping Nilai B Brainly Co Id
brainly.co.id

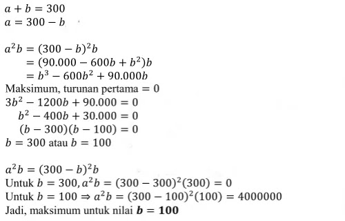
Cara Mencari Nilai X Agar Matriks Singular Penma 2b
penma2b.wordpress.com

Polinomial Menentukan Nilai Polinomial
id.scribd.com

Tugas Flowchart Muhammadfreeza
muhammadfreeza.wordpress.com

Segitiga Abc Siku Siku Di C Dan Sin A 2 7 Nilai Tan B Adalah Brainly Co Id
brainly.co.id

Mahasiswa Untad Digaransi Minimal Nilai B Metrosulawesi
metrosulawesi.id

2 Aljabar
id.scribd.com

D3 Perhotelan Akparnas Berhasil Mempertahankan Akreditasi Dengan Nilai B Mpr Unas
mpr.unas.ac.id

Soal Trigonometri
id.scribd.com

Server Side 2 Php Dasar Php Merupakan Singkatan Dari Hypertext By Hassan Fasya Hidayat Medium
medium.com

Suku Banyak 2x 3 Ax 2 Bx 3 Dibagi Oleh X 2 4 Bersisa X 23 Nilai A B Adalah Youtube
m.youtube.com

Nilai Dari Sin T Adalah A B Nilai A B Adalah Brainly Co Id
brainly.co.id

Pdf Penyelesaian Soal Matematika Sma Sitinur Aini Academia Edu
www.academia.edu

Sakip Nilai B Indikator Tingginya Kinerja Pemkot Bogor Bogor Kita Com
bogor-kita.com

Diketahui 2 Log 3 A Dan 3 Log 5 B Nilai 6 Log 45 Mohon Bantuanya Ya Youtube
www.youtube.com

Bank Soal Dan Pembahasan Matematika Dasar Sukubanyak Polinomial 62 Defantri Com
www.defantri.com

Nilai A B Pada Gambar Berikut Adalah Brainly Co Id
brainly.co.id

Bahan Ajar Kd 14 Trigonometri Sinus Jumlah Dan Selisih Dua Sudut
www.slideshare.net

Soal Dan Pembahasan Matematika Dasar
studylibid.com

Dua Buah Matriks A Dan B
www.slideshare.net

Jika A 2 Berapakah Nilai B Dari Persamaan 2a 3b 13 Solusi Matematika
solusimatematika85.blogspot.com

Soal Latihan Uan Smp 1 Jika A 2 B 3 Dan C 9 Maka Nilai
www.yumpu.com

3 5 8 7 3 4 B Nilai B Yang Tepat Adalah Brainly Co Id
brainly.co.id

Nilai B A Adalah Brainly Co Id
brainly.co.id

Perhatikan Gambar Berikut Nilai B Adalah Brainly Co Id
brainly.co.id

Solved 6 6 B Nilai University Nu Has Been Experiencing Chegg Com
www.chegg.com

Perhatikan Gambar Di Samping Nilai B Adalah A 35 Derajat B 25 Derajat C 20 Derajat D 15 Brainly Co Id
brainly.co.id

Lembar Aktivitas Latihan 2 1 Tentukan Nilai A Dan B Jawab Jawab 2 11 Skalar Dan Perkalian Antarmatriks A 2 3 2 B 3 0 0 1 3 4 Dan C 4 1 1 Pdf Document
fdokumen.com

Fungsi Countif Ishaq Madeamin Blog
www.ishaqmadeamin.com

Rohul Raih Nilai B Sakip 2019
riaupos.jawapos.com

Diketahui Sin A 3 5 Dan Cos B 12 13 A Dan B Adalah Sudut Lancip Nilai Sin A B Youtube
m.youtube.com

Dwxp3lampf2rym

2 A 6 9 B 18 Maka Nilai A B Adalah Brainly Co Id
brainly.co.id

Nilai A Dan B Pada Limit Youtube
www.youtube.com

Nilai Beda Potensial Antara B Dan D Adalah Mas Dayat
www.masdayat.net

Mahasiswa Wajib Tahu 5 Hal Penting Soal Sistem Penilaian Di Kampus Mamikos Info
mamikos.com

Suku Banyak 2x 3 Ax 2 Bx 3 Dibagi Oleh X 2 4 Bersisa X 23 Nilai A B Adalah Youtube
m.youtube.com

Fungsi F Dinyatakan Dengan Rumus F X Ax B Jika F 4 19
tripasik.com

Soal Vektor Diketahui Titik A 1 2 4 B 5 3 6 C 13 5 P Segaris Nilai P Adalah Youtube
www.youtube.com

Soal Dan Pembahasan Suku Banyak
www.slideshare.net

Tentukan Nilai A Dan B Jawaban Tvri 18 Agustus 2020 Smp
www.kompas.com

Nilai B Jika Stasioner X 4 Diferensial Youtube
www.youtube.com

Bagaimana Cara Menghitung Ipk Ini Dia Rumusnya Rencanamu
rencanamu.id

Perhatikan Gambar Di Samping Nilai B Adalah A 35b 25c 20d 15 Brainly Co Id
brainly.co.id

Garis Garis Sejajar
www.slideshare.net

Perhatikan Gambar Disamping Nilai B Adalah A 125b 65c 42d 25 Brainly Co Id
brainly.co.id

Pat Anak Dari Kelas Lain Mempunyai Nilai Rata Rata 7 Zenius Net
www.yumpu.com

Cara Mudah Menghitung Ip Dan Ipk Berbagi Ilmu
www.rijal09.com

Soal Dan Pembahasan Suku Banyak
www.slideshare.net

Homa B
www.scribd.com

Pemkab Kotabaru Targetkan Peroleh Nilai Sakip B Antara News Kalimantan Selatan
kalsel.antaranews.com

Soal Soal Matriks 1 Diketahui Matriks P Dan Q Maka P Q
www.yumpu.com

Tips Untuk Mahasiswa Baru Mendapat Minimal Nilai B Students Tel U News Portal
studentstelkomuniversity.com

Arti Dibalik Nilai A B C D E Yang Kamu Dapat Semasa Kuliah Anakui Com
www.anakui.com

3 Macam Operator Logika C Lengkap Contoh Program Materi Dosen
www.materidosen.com

Doc Jumlah Dan Selisih Sudut Trigonometri Alan Ruhyat Academia Edu
www.academia.edu

Sistem Kuliah Daring Unila Bakal Beri Nilai Minimal B Lho Tapi Berita Viral Hari Ini Lowongan Kerja Hari Ini
www.infokyai.com

Nilai B Gambar Soal Di A 23b 25c 42d 65tolong Sertakan Cara Pengerjaannya Brainly Co Id
brainly.co.id

Kunci Jawaban Garis M Dan N Sejajar Besar Nilai B Pada Gambar Berikut Adalah Rofa Education Centre
rofaeducationcentre.blogspot.com

Diketahui A B 3 4 Jika A B 24000 Nilai A Dan B Adalah Brainly Co Id
brainly.co.id

Java Netbeans Project Menampilkan Nilai Mahasiswa Eufrondweb
www.eufrondweb.rf.gd

Diketahui Sina 4 5 Cosb 5 13 A Sudut Tumpul Dan B Sudut Lancip Nilai Cos A B Youtube
www.youtube.com

B 14 1 1 7 Nilai B Adalah Brainly Co Id
brainly.co.id

Jika A Bt Nilai B Adalah Diskusi Pr Mejakita
www.mejakita.com

Soal Dan Pembahasan Un Matematika Sma Tahun 2018 16 20 Epanrita Com
www.epanrita.com

Jika F X Ax B Dan F 0 2 F 2 4 Apa Rumus Fungsinya Dan Nilai F 3 Solusi Matematika
solusimatematika85.blogspot.com

Algoritma Dan Pemrograman Ppt Download
slideplayer.info

Tugas Matriks Kerjakan Soal Soal Berikut Disertai Dengan Cara
studylibid.com

1 Diketahui A B 5 6 Jika Nilai A 20 Maka Nilai B Adalah 2 Jumlah Kelereng 80 Butir Brainly Co Id
brainly.co.id

Selamat Dan Sukses Atas Diraihnya Nilai B Akreditasi Institusi Perguruan Tinggi Universitas Nu Surabaya
unusa.ac.id

Menentukan Nilai Stasioner Dan Jenis Ekstrim Fungsi Smatika
smatika.blogspot.com

Kunci Jawaban Berdasarkan Gambar Di Atas Hitunglah A Nilai X B Besar Bcf Rofa Education Centre
rofaeducationcentre.blogspot.com

03 Ucun Matematika A
studylibid.com

Nilai Tan B Jika Diketahui Sin A Pembahasan Un Matematika Sma Ips 2018 No 22 Youtube
www.youtube.com

Doc Buku Gak Seberapa Denybill Andreas Sembiring Academia Edu
www.academia.edu

Kunci Jawaban Diketahui X N 1 Y N 3 X 2n Y 6 N Adalah Senilai Dengan X A Y B Dapatkan Nilai B A Rofa Education Centre
rofaeducationcentre.blogspot.com

Batam Pertahankan Nilai B Untuk Evaluasi Sakip
mediacenter.batam.go.id

Cara Cepat Mencari Rumus Fungsi F X Ax B Jika 2 Nilai F X Diketahui Cerdas Matematika
bakhtiarmath.wordpress.com

Perhatikan Gambar Berikut Nilai B Adalah Brainly Co Id
brainly.co.id

Limit Jika Kontinu Di X Maka Nilai A Dan B Request Youtube
www.youtube.com

Pemrograman Joss Oleh Mahasiswa Joss Redaksiana
redaksi.pens.ac.id

Diketahui A 4 B 2 Dan C 1 2 Maka Nilai Dari A 1 2 X B 4 C 3 Adalah Youtube
m.youtube.com

Range Nilai Semester Ganjil 2017 2018 Teknik Elektro Fti Uii
ee.uii.ac.id

2

Download Format Nilai Raport Semester 1 5 Jenjang Smp Mts Syarat Ppdb Smk Sma 2020 Komunitas Smk Kabupaten Grobogan
www.smk-grobogan.net

Ui Bantah Terapkan Nilai Minimum B Untuk Kuliah Daring Medcom Id
m.medcom.id

Contoh Soal Dan Pembahasan Tentang Matriks Ajar Hitung
www.ajarhitung.com

Nilai Stasioner Dan Aplikasi Turunan Matematika
mathematics4us.com

Soal Dan Pembahasan Suku Banyak
www.slideshare.net

Distribusi Normal Matematika Peminatan Kelas Xii Program Mipa
www.slideshare.net

Perbandingan Nilai A Dan Nilai B Adalah 1 3 Sedangkan Perbandingan Nilai B Dan Nilai C Adalah 2 Brainly Co Id
brainly.co.id

A Nilai B Norma C
studylibid.com

Cara Menghitung Nilai Halaman Bantuan Analytics
support.google.com

Modul Matematika Kumpulan Soal Akhir Kelas X Xi Xii Pages 1 50 Flip Pdf Download Fliphtml5
fliphtml5.com

Cara Menghitung Nilai Halaman Bantuan Analytics
support.google.com

Aplikasi Kalkulator Nilai Pelajaran Dengan Angular Dan Progressive Web App By Rian Yulianto W Medium
medium.com

Pdf Machine Learning Linear Regression 1 1 Regression
www.researchgate.net

Nilai Dari Sin T Adalah A B Nilai Dari A B Adalah Brainly Co Id
brainly.co.id

Diketahui A Dan B Adalah Sudut Sudut Lancip Jika Sin Diskusi Pr Mejakita
www.mejakita.com

close