Belajar Itu Mudah

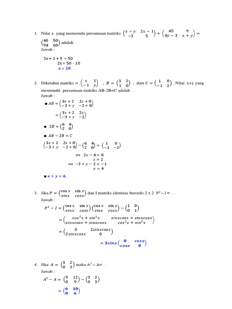
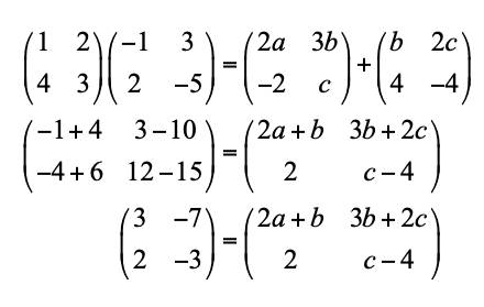
Nilai Abc Yang Memenuhi Persamaan Matriks


Belajar Materi Matematika Soal Dan Pembahasan Kesamaan Matriks
belajarmaterimatematika.blogspot.com

Aplikasi Matriks Untuk Sistem Persamaan Linear Pdf
id.scribd.com

Tutorial Cara Menentukan Matriks X Pada Perkalian Matriks Ax B Bagian 2 Youtube
m.youtube.com

Lks Matematika Materi Matriks
www.slideshare.net

Matriks X Yang Berordo 2x2 Yang Memenuhi Persamaan 3 4 1 2 X 2 1 4 3 Adalah Youtube
www.youtube.com

Bab 17 Matriks
www.slideshare.net

Nilai X Yang Memenuhi Persamaan Matriks X 2 4 Y 2 1 3 4 X Y 4 4 10 Adalah A 2 B Course Hero
www.coursehero.com

Bab 13 Matriks
id.scribd.com

Modul Matematika Kumpulan Soal Akhir Kelas X Xi Xii Pages 1 50 Flip Pdf Download Fliphtml5
fliphtml5.com

Nilai X Yang Memenuhi Persamaan Matriks Matematika Sma Youtube
www.youtube.com

Matriks
www.slideshare.net

Cara Mencari Nilai X Agar Matriks Singular Penma 2b
penma2b.wordpress.com

Tes Akhir Modul Mata Pelajaran Matematika Pokok Bahasan Matriks Ppt Download
slideplayer.info

Menentukan Nilai X Yang Memenuhi Persamaan Youtube
m.youtube.com

Nilai X Y Yang Memenuhi Persamaan Ab 2b C Adalah Brainly Co Id
brainly.co.id

Tentukan Nilai A Dan B Yang Memenuhi Persamaan Berikut Brainly Co Id
brainly.co.id

Kelas 12 Yuk Belajar Matriks Dan Contoh Soalnya Di Sini
www.quipper.com

Nilai A B C Yang Memenuhi Persamaan Matriks Adalah Brainly Co Id
brainly.co.id

Tentukan Nilai A B Dan C Yang Memenuhi Persamaan Brainly Co Id
brainly.co.id

1 Sman 16 Jakarta Matematika15 4 Nilai P Yang Memenuhi Persamaan Matriks 4 2 2 6 6 2 Pdf Document
fdokumen.com

Doc Soal Dan Jawaban Untuk Matriks Aprillia Benitha Academia Edu
www.academia.edu

Modul Matematika Kumpulan Soal Akhir Kelas X Xi Xii Pages 1 50 Flip Pdf Download Fliphtml5
fliphtml5.com

19 Soal Soal Matriks
www.slideshare.net

Nilai Dan Vektor Eigen Wikipedia Bahasa Indonesia Ensiklopedia Bebas
id.wikipedia.org

Doc Soal Dan Pembahasan Matriks Fajrin Puspa Academia Edu
www.academia.edu

Soal Soal Matematika Kelas 12 Semester
studylib.net

Matriks Soal Soal Matriks 3 2 5 1 5 P 1 Diketahui Matriks A B 2 3 7 5 Dan C Matriks Berordo 2 2 Jika Ca B Maka A B C Un Th 06 18 7 5 7 18 11 5 Course Hero
www.coursehero.com

Nilai A B Yang Memenuhi Persamaan Matriks Brainly Co Id
brainly.co.id

Soal Latihan Matriks
id.scribd.com

Nilai X Yang Memenuhi Persamaan Matriks Brainly Co Id
brainly.co.id

Matriks 1
id.scribd.com

Matriks Transformasi Linier Ppt Download
slideplayer.info

Nilai A Yang Memenuhi Persamaan Matriks Adalah Brainly Co Id
brainly.co.id

Cara Mudah Menentukan Nilai X Dan Y Dalam Persamaan Matriks Soal Dan Pembahasan Youtube
www.youtube.com

Nilai A B C Yang Memenuhi Persamaan Matriks 1 2 C A 8a 4 A 6 2 3 3c 2a 16b 9c Course Hero
www.coursehero.com

Tentukan Nilai A B C Yang Memenuhi Persamaan Matriks Berikut Brainly Co Id
brainly.co.id

Diketahui Matriks A 1 2 3 4 Dan B 4 3 2 1 Matriks C Yang Memenuhi Ac B Adalah Youtube
www.youtube.com

Nilai A B C Yang Memenuhi Persamaan Matriks Di Gambar Brainly Co Id
brainly.co.id

Matematika Matriks
www.slideshare.net

5 Macam Metode Menentukan Penyelesaian Spltv Contoh Soal Dan Pembahasan Bagian 3 Blog Matematika
blogmipa-matematika.blogspot.com

Doc Contoh Soal Matematika Dan Pembahasan Bab Matriks Agnes Irawati Academia Edu
www.academia.edu

Matematika Matriks
www.slideshare.net

Cara Mencari Nilai X Agar Matriks Singular Penma 2b
penma2b.wordpress.com

Soal Soal Matriks
www.slideshare.net

Matematika Matriks
www.slideshare.net

Tes Akhir Modul Mata Pelajaran Matematika Pokok Bahasan Matriks Ppt Download
slideplayer.info

Un Sma Matematika 2017 Prediksi Pembahasan No 24 Perkalian Dan Penjumlahan Matriks Youtube
www.youtube.com

12 Matriks
id.scribd.com

Pembahasan Soal Umpn Polines Bidang Rekayasa 2017 Matematika No15 Matriks Youtube
www.youtube.com

Contoh Soal Matriks Determinan Dan Invers Pembahasan
soalkimia.com

Uji Kompetensi Matriks Ppt Download
slideplayer.info

Kelas 12 Yuk Belajar Matriks Dan Contoh Soalnya Di Sini
www.quipper.com

Nilai P Yang Memenuhi Persamaan Matriks 2 2 1 1 3 6 2p 4 1 2 1 1 1 0 1 2 4 Adalah Brainly Co Id
brainly.co.id

Soal Latihan Matriks
id.scribd.com

Tentukan Lah Hasil P Yg Memenuhi Persamaan Matriks Berikut Soal No 3 Dan Soal Nomor4 Brainly Co Id
brainly.co.id

Matriks
www.slideshare.net

Kelas 12 Yuk Belajar Matriks Dan Contoh Soalnya Di Sini
www.quipper.com

Pdf Matriks Zigma Private Academia Edu
www.academia.edu

Contoh Soal Dan Pembahasan Tentang Matriks Ajar Hitung
www.ajarhitung.com

Contoh Soal Matriks Determinan Dan Invers Pembahasan
soalkimia.com

Matriks Perkalian Determinan Invers Rumus Contoh Soal
www.studiobelajar.com

Soal Dan Pembahasan Super Lengkap Matriks Determinan Dan Invers Matriks Mathcyber1997
mathcyber1997.com

Hitunglah Nilai X Jika Ada Yang Memenuhi Persamaan Nilai Mutlak A 4 3x 4 B 2 3x 8 10 Youtube
www.youtube.com

Matriks
www.slideshare.net

Dipersembahkan Oleh B Ginting Munthe Spd Nip Ppt Download
slideplayer.info

121320723 20 Soal Dan Jawaban Untuk Matriks Docx
es.scribd.com

Contoh Soal Dan Pembahasan Tentang Matriks Ajar Hitung
www.ajarhitung.com

Nilai X Yang Memenuhi Persamaan Matriks X 2 4 Y 2 1 3 4 X Y 4 4 10 Adalah A 2 B Course Hero
www.coursehero.com

121320723 20 Soal Dan Jawaban Untuk Matriks
id.scribd.com

Latihan Matriks New
pdfslide.tips

Contoh Soal Dan Pembahasan Tentang Matriks Ajar Hitung
www.ajarhitung.com

Un Sma Matematika 2017 Prediksi Pembahasan No 24 Perkalian Dan Penjumlahan Matriks Youtube
www.youtube.com

Tentukan Nilai A B C Dan D Dari Matriks Yg Memenuhi P Q Pada Gambar Berikut Brainly Co Id
brainly.co.id

Tutorial Cara Menentukan Matriks X Pada Perkalian Matriks Ax B Bagian 2 Youtube
m.youtube.com

Kelas 12 Yuk Belajar Matriks Dan Contoh Soalnya Di Sini
www.quipper.com

Tentukan Nilai A B Dan C Yang Memenuhi Persamaan Matriks Berikut Brainly Co Id
brainly.co.id

Matriks Soal Dan Jawab
dokumen.tips

Pertemuan I Pengertian Matriks Operasi Jenis Jenis Matriks Ppt Download
slideplayer.info

Drs Agus Hidayat Program Belajar Paket G Setara Sma Pdf Free Download
docplayer.info

60 0 41 3 012 23 4 1 1 2 3 0 1
studylibid.com

20 Soal Dan Jawaban Untuk Matriks
id.scribd.com

Menentukan Suatu Matriks Dari Hasil Kali Perkalian Dua Buah Matriks Ilmu Hitung
ilmuhitung.com

Bank Soal Dan Pembahasan Matematika Dasar Matriks 36 Defantri Com
www.defantri.com

Carilah Nilai A B C Dan D Pada Tiap Persamaan Matriks Berikut Brainly Co Id
brainly.co.id

Tugas Matriks Kerjakan Soal Soal Berikut Disertai Dengan Cara
studylibid.com

Matematika Matriks
www.slideshare.net

Contoh Soal Dan Pembahasan Tentang Matriks Ajar Hitung
www.ajarhitung.com

Matriks
www.slideshare.net

Matematika Matriks
www.slideshare.net

Web View4 Diketahui Matriks A B Dan C Bila X Merupakan Penyelesaian Persamaan A
pdfslide.tips

Soal Soal Matriks
www.slideshare.net

Soalmatp Doc
www.scribd.com

H Nugroho Sudjatmiko M Pd Amalia S Website Diketahui Sistem Persamaan Linier Dua Peubah X Y
pdfslide.tips

Xpedia Matematika Dasar Zenius Net
www.yumpu.com

Diketahui Matriks A X 1 1 Y B 3 2 Brainly Co Id
brainly.co.id

Persamaan Matriks Bentuk Ax B Dan Xa B
www.dosenmatematika.co.id

Matematika Matriks Matematika Jawablah Soal Isian Dengan Jelas Dan Tepat
id.scribd.com

Modul Matematika Kumpulan Soal Pages 1 50 Flip Pdf Download Fliphtml5
fliphtml5.com

Kelas 12 Yuk Belajar Matriks Dan Contoh Soalnya Di Sini Quipper Line Today
today.line.me

Doc Soal Matrik Dan Program Linear Ayu Aini Academia Edu
www.academia.edu

close