Belajar Itu Mudah

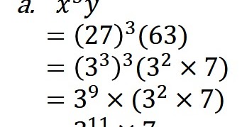
Diberikan X 27 Dan Y 63 Tentukan Hasil Dari Operasi


Best Top Kamera Murah Berkualitas List And Get Free Shipping C9fek4ml
sites.google.com

Https Apps Who Int Iris Bitstream 10665 42295 4 9241545305 Ind Pdf

Kelas Ix Matematika Bs Semester 1 Crc
www.slideshare.net

Tolong Di Bantu Nomor 20 21 Brainly Co Id
brainly.co.id

Buku Siswa Matematika Kelas 9 Revisi 2018 Pages 51 100 Flip Pdf Download Fliphtml5
fliphtml5.com

Proceedings Of Mafiadoc Com
mafiadoc.com

Jawaban Buku Matematika Kelas 9 Uji Kompetensi 1 Perpangkatan Dan Bentuk Akar Hal 58 Pentium Sintesi
pentiumsintesi.blogspot.com

1 Diberikan X 27 Dan Y 63 Tentukan Hasil Dari Operasi Di Bawah Ini Tuliskan Jawabanmu Dalam Brainly Co Id
brainly.co.id

Neotek Vol Ii No 05 Zpnx11oxo1lv
idoc.pub

Https Www Researchgate Net Profile Mohd Asnorhisham Adam2 Publication 335925767 Proceeding Nali 2019 Edaran Web Links 5d842664299bf1996f7e442e Proceeding Nali 2019 Edaran Web Pdf

Https Rest App Belajar Kemdikbud Go Id Files Pdf Ba81e4fc2f9849a1bd77a205a1ffbfcf Pdf

Kelas 09 Smp Matematika Siswa 1 Vebuka Com
vebuka.com

Http Castlerockasia Com Sumba Deliverable 20a 20 20electricity 20access 20final 20july 202015 Pdf

Developing An Automated Student Academic Record Management With Business Intelligence Approach Pdf Free Download
adoc.tips

Buku Guru Matematika Kelas 9 K13 Revisi 2018 Pages 151 200 Flip Pdf Download Fliphtml5
fliphtml5.com

Kunci Jawaban Diberikan X 27 Dan Y 63 Tentukan Hasil Dari Operasi Di Bawah Ini Tuliskan Jawabanmu Dalam Bentuk Bilangan Berpangkat Paling Sederhana A X 3y B X Y Rofa Education Centre
rofaeducationcentre.blogspot.com

Jawaban Buku Matematika Kelas 9 Uji Kompetensi 1 Perpangkatan Dan Bentuk Akar Hal 58 Pentium Sintesi
pentiumsintesi.blogspot.com

Tropical Agricultural Science Volume 23 N0 2 September A Scientific Journal Published By Universiti Putra Malaysia Press Issn Pdf Free Download
docplayer.net

2

Mid Term Review P3sw Public Private Partnership Pilot Programme For Pekanbaru And East Indonesia Pdf Free Download
docplayer.net

2008 2009 Transformer Electrical Impedance
www.scribd.com

2

Kunci Jawaban Matematika Kelas 9 Halaman 58 62 Uji Kompetensi 1 Kosingkat
www.kosingkat.id

Https Mafiadoc Com Download Untitled 5a9e13271723ddfb057ff6fc Html

Hasil Pencarian Dari Frasa Diberikan X 27 Dan Y 63 Youtube
www.youtube.com

11 Menganalisis Dan Menyimpukan Pentingnya Cara Menuliskan Bilangan Bentuk Course Hero
www.coursehero.com

2

Buku Siswa Matematika Kelas 9 Revisi 2018 Compressed Pages 51 100 Text Version Anyflip
anyflip.com

Neotek Vol Ii No 05 Zpnx11oxo1lv
idoc.pub

2

Buku Siswa Matematika Kelas 9 Revisi 2018 Pages 51 100 Flip Pdf Download Fliphtml5
fliphtml5.com

1 Diberikan X 27 Dan Y 63 Tentukan Hasil Dari Operasi Di Bawah Ini Tuliskan Jawabanmu Dalam Brainly Co Id
brainly.co.id

Tolong Bantu Jawab No 16 20 Boleh Kan Brainly Co Id
brainly.co.id

Https Www Cybersecurity My Data Content Files 12 2008 Pdf

Qgis User Guide Qgis Documentation Manualzz
manualzz.com

Top 10 Jadul Hp Murah Berkualitas List And Get Free Shipping Aa0ik47b
sites.google.com

Pascal 16 Rangkuman Soal Pascal
pdfslide.net

Dasar Dasar Rekayasa Transportasi Pages 51 100 Flip Pdf Download Fliphtml5
fliphtml5.com

Feedback All Items
karunadu.karnataka.gov.in

Buku Guru Kelas Ix Matematika K 13
www.slideshare.net

Mohon Bantuannya Diberikan 27 Dan Y 63 Tentukan Hasil Operasi Di Bawah Ini Dalam Bentuk Brainly Co Id
brainly.co.id

2

2

Https Encrypted Tbn0 Gstatic Com Images Q Tbn 3aand9gcqf2z Xydxp2tpzu K2jg2 Opccyivkgxirtda Ydu Usqp Cau
encrypted-tbn0.gstatic.com

Drilling Hydraulic Pdf Free Download
edoc.pub

Tutorial Lengkap Belajar Android D0nvmjk4oyqz
doku.pub

Lab Book C Programming Pld4p6rpy8ln
doku.pub

Jawaban Buku Matematika Kelas 9 Uji Kompetensi 1 Perpangkatan Dan Bentuk Akar Hal 58 Pentium Sintesi
pentiumsintesi.blogspot.com

Https Oip Manual Canon Usrma 3318 Zz Ss Vivn Pdfs Mf269dw Gs Multi R Pdf

Doc Riset Operasi Selly Setyawuri Academia Edu
www.academia.edu

Latihan Soal Perpangkatan Dan Bentuk Akar Matematika Smp
arisrusmana.wordpress.com

Https Encrypted Tbn0 Gstatic Com Images Q Tbn 3aand9gcsswatc3iyrm24ksya Qeuzwrfz6r8toyvczwvw8bbqf9tjwbio Usqp Cau
encrypted-tbn0.gstatic.com

Universitisawsmalaysia Iek101 3 Gambarajahbenkut Merupakan Satu Operasi Yang Meiibatkan Satu Penyejat Pdf Document
fdokumen.site

Operasi Perpangkatan Bse Matematika Kelas 9 K13 Uk 1 No 19 Eksponensial R Youtube
www.youtube.com

Uji Kompetensi 1 Nomor 20 21 22 23 24 25 Kelas 9 Smp Mts Semester 1 Pangkat Akar Bse Halaman 60 61 Youtube
www.youtube.com

Atmega8535 L Hasanuddin University
studylib.net

Uji Kompetensi 1 Nomor 20 21 22 23 24 25 Kelas 9 Smp Mts Semester 1 Pangkat Akar Bse Halaman 60 61 Youtube
www.youtube.com

Mengenalpasti Dan Mengawal Pemboleh Ubah
studylib.net

Kunci Jawaban Diberikan X 27 Dan Y 63 Tentukan Hasil Dari Operasi Di Bawah Ini Tuliskan Jawabanmu Dalam Bentuk Bilangan Berpangkat Paling Sederhana A X 3y B X Y Rofa Education Centre
rofaeducationcentre.blogspot.com

Https Oip Manual Canon Usrma 3318 Zz Ss Vivn Pdfs Mf269dw Gs Multi R Pdf

1 Diberikan X 27 Dan Y 63 Tentukan Hasil Dari Operasi Di Bawah Ini Tuliskan Jawabanmu Dalam Brainly Co Id
brainly.co.id

October 2012 Iwansuwandy S Blog
iwansuwandy.wordpress.com

Celebrating Indonesia Fifty Years With The Ford Foundation 1953 2003 Pdf Free Download
epdf.pub

Kelas 11 Sma
dokumen.tips

Flowchart Gen5mp2dr54o
idoc.pub

Http Www Pertanika Upm Edu My Pertanika 20papers Jtas 20vol 2023 20 2 20sep 202000 20 View 20full 20journal Pdf

Pdf Industri Migas I Wayan Ngarayana Academia Edu
www.academia.edu

Https Encrypted Tbn0 Gstatic Com Images Q Tbn 3aand9gctd0vbc92hrvokl Wb3syxexra Jepdazn1g0w3w8ofmc9zlmuh Usqp Cau
encrypted-tbn0.gstatic.com

Pdf Adaptive Anti Synchronization Of Two Chaotic Systems With Partly Uncertain Parameters M Mossa Al Sawalha Academia Edu
www.academia.edu

Https Ca Jbl Com On Demandware Static Sites Mastercatalog Harman Default Dwb22a94aa Pdfs Tr01811 Jbl Studio In Wall Om B V3 Combine Ld Pdf

Buku Siswa Matematika Kelas 9 Revisi 2018 Compressed Pages 51 100 Text Version Anyflip
anyflip.com

Mid Term Review P3sw Public Private Partnership Pilot Programme For Pekanbaru And East Indonesia Pdf Free Download
docplayer.net

Latihan Soal Perpangkatan Dan Bentuk Akar Matematika Smp
arisrusmana.wordpress.com

Buku Guru Matematika Kelas 9 K13 Revisi 2018 Pages 151 200 Flip Pdf Download Fliphtml5
fliphtml5.com

Translated Copy Of 2015 Esc Acute Coronary Syndromes Acs In Patients Presenting Without Persistent St Segment Elevation Management Of
www.scribd.com

Uji Kompetensi 1 Matematika Kelas 9 Ix Bab 1 Perpangkatan Dan Bentuk Akar 3 Youtube
www.youtube.com

Kunci Jawaban Diberikan X 27 Dan Y 63 Tentukan Hasil Dari Operasi Di Bawah Ini Tuliskan Jawabanmu Dalam Bentuk Bilangan Berpangkat Paling Sederhana A X 3y B X Y Rofa Education Centre
rofaeducationcentre.blogspot.com

Kunci Jawaban Matematika Kelas 9 Halaman 58 62 Uji Kompetensi 1 Kosingkat
www.kosingkat.id

Http Www Pertanika Upm Edu My Pertanika 20papers Jtas 20vol 2023 20 2 20sep 202000 20 View 20full 20journal Pdf

Issuu To Pdf Download Tool
issuudownload.net

1 Diberikan X 27 Dan Y 63 Tentukan Hasil Dari Operasi Di Bawah Ini Tuliskan Jawabanmu Dalam Brainly Co Id
brainly.co.id

Https Www Researchgate Net Profile Mohd Asnorhisham Adam2 Publication 335925767 Proceeding Nali 2019 Edaran Web Links 5d842664299bf1996f7e442e Proceeding Nali 2019 Edaran Web Pdf

Http Www Pertanika Upm Edu My Pertanika 20papers Jtas 20vol 2023 20 2 20sep 202000 20 View 20full 20journal Pdf

Buku Guru Kelas Ix Matematika K 13
www.slideshare.net

Https Tud Qucosa De Api Qucosa 3a38247 Attachment Att 0

Kunci Jawaban Matematika Kelas 9 Halaman 58 62 Uji Kompetensi 1 Kosingkat
www.kosingkat.id

2

Buku Siswa Matematika Kelas 9 Revisi 2018 Compressed Pages 51 100 Text Version Anyflip
anyflip.com

2

Translated Copy Of 2015 Esc Acute Coronary Syndromes Acs In Patients Presenting Without Persistent St Segment Elevation Management Of
www.scribd.com

Https Www Researchgate Net Profile Mohd Asnorhisham Adam2 Publication 335925767 Proceeding Nali 2019 Edaran Web Links 5d842664299bf1996f7e442e Proceeding Nali 2019 Edaran Web Pdf

Search Q Brainly Meme Tbm Isch

Mid Term Review P3sw Public Private Partnership Pilot Programme For Pekanbaru And East Indonesia Pdf Free Download
docplayer.net

Best Top Kamera Murah Berkualitas List And Get Free Shipping C9fek4ml
sites.google.com

Operasi Perpangkatan Bse Matematika Kelas 9 K13 Uk 1 No 19 Eksponensial R Youtube
www.youtube.com

Https Www Cybersecurity My Data Content Files 12 2008 Pdf

Https Rest App Belajar Kemdikbud Go Id Files Pdf Ba81e4fc2f9849a1bd77a205a1ffbfcf Pdf

2008 2009 Transformer Electrical Impedance
www.scribd.com

Buku Guru Kelas Ix Matematika K 13
www.slideshare.net

Blog Archives Lenshill
lenshill364.weebly.com

2

Ebook Ham 30j87z163vlw
doku.pub

Blog Archives Hillrealestate
hillrealestate.weebly.com

1 Diberikan X 27 Dan Y 63 Tentukan Hasil Dari Operasi Di Bawah Ini Tuliskan Jawabanmu Dalam Brainly Co Id
brainly.co.id

close