Belajar Itu Mudah

Contoh Soal Pecahan Senilai Dengan Gambar Dan Model Konkret


Https Encrypted Tbn0 Gstatic Com Images Q Tbn 3aand9gcsd8mczwv99unsk9niuyk9 6abnikb8 0ko5hnk6fjpuq S0ftv Usqp Cau
encrypted-tbn0.gstatic.com

Pengertian Dan Cara Menentukan Pecahan Senilai
mafia.mafiaol.com

Matematika Kurikulum 2013 Kelas 4 Pages 51 100 Flip Pdf Download Fliphtml5
fliphtml5.com

Matematika 4 Sd Menggambar Pecahan Sederhana Dan Dari Gambar Ke Pecahan Youtube
m.youtube.com

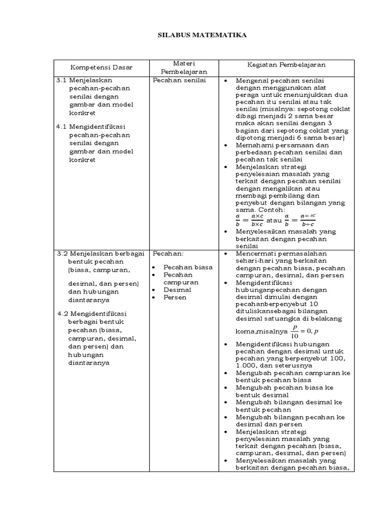
Silabus Matematika Kelas Iv Kompetensi Inti
id.scribd.com

Rencana Pelaksanaan Pembelajaran Rpp
id.scribd.com

Mengenal Pecahan Belajar Dari Rumah Tvri Kelas 1 3 Sd 4 Juni 2020 Halaman All Kompas Com
www.kompas.com

Soal Uas Matematika Kelas 4 Kurikulum 2013 Semester 1 Riyanpedia
www.riyanpedia.com

Contoh Soal Pecahan Kelas 4 Kurikulum 2013 Kumpulan Soal Pelajaran 8
soalujian-78.blogspot.com

Soal Ulangan Pts Matematika Kelas 4 Semester 1 Sekolahdasar Net
www.sekolahdasar.net

Cara Mengerjakan Pecahan Senilai Kelas 4 Sd Guru Ilmu Sosial
www.ilmusosial.id

Pdf Contoh Perangkat Pembelajaran Pecahan Sitti Patahuddin Academia Edu
www.academia.edu

Kelas 4 Silabus
www.slideshare.net

Analisis Kesulitan Siswa Dalam Memahami Materi Pecahan Campuran Kelas V Sekolah Dasar Pdf Download Gratis
docplayer.info

8 1 Rpp Kd 3 1 4 1 Mtk Kelas 4 Sm 1 Rev 2017 Websiteedukasi Com Docx
id.scribd.com

Pecahan Senilai Dan Cara Menentukan Pecahan Senilai Tips Belajar Matematika
www.tipsbelajarmatematika.com

Pengertian Dan Cara Menentukan Pecahan Senilai
mafia.mafiaol.com

Http Digilib Uinsby Ac Id 24650 1 Hanik 20hamdiyah D07213014 Pdf

Pecahan Senilai Dan Cara Menentukan Pecahan Senilai Tips Belajar Matematika
www.tipsbelajarmatematika.com

Kumpulan Contoh Soal Contoh Soal Pecahan Senilai Kelas 4
bakingupforlosttime.blogspot.com

Contoh Rpp Matematika Kelas 4 Semester 1 Kurikulum 2013 Info Pendidikan Terbaru
www.guru-id.com

Modul Matematika Kelas Iv Pecahan Senilai Docx Modul Matematika Kelas Iv Sd Mi Pecahan Senilai Untuk Kelas Iv Sd Mi Oleh Yemima Christiani Course Hero
www.coursehero.com

Pengertian Dan Cara Menentukan Pecahan Senilai
mafia.mafiaol.com

Pecahan
www.slideshare.net

Promes Matematika Kelas 4 Semester 1 Katulis Com Docx
id.scribd.com

Contoh Soal Pecahan Senilai Dengan Gambar Dan Model Konkret Seputar Model
seputaranmodel.blogspot.com

I Ytimg Com Vi W6iqsaoy Ya Hqdefault Jpg
www.tipsbelajarmatematika.com

Cara Mengerjakan Matematika Pecahan Senilai
belajarbarengs.web.app

Pecahan Peragaan Pecahan Ppt Download
slideplayer.info

Https Encrypted Tbn0 Gstatic Com Images Q Tbn 3aand9gcsd8mczwv99unsk9niuyk9 6abnikb8 0ko5hnk6fjpuq S0ftv Usqp Cau
encrypted-tbn0.gstatic.com

Penilaian Harian Matematika Pecahan Senilai Dan Bentuk Pecahan Kelas 4
id.scribd.com

Contoh Soal Pecahan Kelas 4 Semester 1 Kurikulum 2013 Kumpulan Soal Pelajaran 8
soalujian-78.blogspot.com

Contoh Soal Pecahan Senilai Dengan Gambar Dan Model Konkret Seputar Model
seputaranmodel.blogspot.com

Contoh Soal Pecahan Kelas 4 Kurikulum 2013 Kumpulan Soal Pelajaran 8
soalujian-78.blogspot.com

Cara Mengerjakan Pecahan Senilai 13 Guru Ilmu Sosial
www.ilmusosial.id

Pecahan Senilai Dan Cara Menentukan Pecahan Senilai Tips Belajar Matematika
www.tipsbelajarmatematika.com

Matematika Alat Peraga Kartu Pecahan Senilai Youtube
www.youtube.com

Pecahan Peragaan Pecahan Ppt Download
slideplayer.info

Buatlah Gambar Yang Menunjukkan Pecahan 3 5 Dan 4 6
www.kompas.com

Pembelajaran Operasi Pecahan Dengan Cuisenaire Rods Pdf Download Gratis
docplayer.info

Jawaban Matematika Kelas 4 Pecahan Senilai
belajarbarengs.web.app

Kisi Kisi Soal Ulangan Harian Matematika Kelas 4 Sd Pecahan Antapedia Com
www.antapedia.com

Workbook Matematika Kelas Iv Pages 1 50 Flip Pdf Download Fliphtml5
fliphtml5.com

Berdasarkan Gambar Di Samping Tentukan Pecahan Yang Senilai Dengan Pecahan Pecahan Berikut A 1 2 Brainly Co Id
brainly.co.id

Pecahan Sebagai Perbandingan Bagian Dari Keseluruhan Bangku Sekolah
bangkusekolah.com

2 Silabus Matematika Kelas 4
id.scribd.com

Matematika Kelas 4 Sd Cara Paling Lengkap Menentukan Pecahan Senilai Youtube
www.youtube.com

Https Encrypted Tbn0 Gstatic Com Images Q Tbn 3aand9gcsd8mczwv99unsk9niuyk9 6abnikb8 0ko5hnk6fjpuq S0ftv Usqp Cau
encrypted-tbn0.gstatic.com

Pengertian Dan Cara Menentukan Pecahan Senilai Berpendidikan Com
www.berpendidikan.com

Pengembangan Soal Hots Ppt Download
slideplayer.info

Cara Mengerjakan Pecahan Senilai Guru Ilmu Sosial
www.ilmusosial.id

Cara Mengerjakan Pecahan Senilai 13 Guru Ilmu Sosial
www.ilmusosial.id

Pengertian Dan Cara Menentukan Pecahan Senilai Berpendidikan Com
www.berpendidikan.com

Membuat Pecahan Senilai Youtube
m.youtube.com

Rpp Matematika Kelas 4 Sem1
id.scribd.com

Contoh Soal Matematika Kelas 4 Pecahan Senilai Kumpulan Soal Pelajaran 7
soalujian-77.blogspot.com

Bahan Ajar Matematika Sutrameni Docx
id.scribd.com

Pengembangan Bahan Ajar Materi Pecahan Dengan Pendekatan Kontekstual Untuk Siswa Smp Kelas Vii Skripsi Pdf Free Download
docplayer.info

Doc Rpp Bilangan Bulat Dan Pecahan Catatan Harian Matematika Academia Edu
www.academia.edu

Pelajaran Matematika Contoh Pecahan Senilai Kelas 4
belajarbarengs.web.app

Contoh Soal Matematika Kelas 4 Pecahan Senilai Kumpulan Soal Pelajaran 7
soalujian-77.blogspot.com

Cara Mengerjakan Pecahan Senilai Guru Ilmu Sosial
www.ilmusosial.id

Matematika Pecahan Senilai Kelas 4 Sd
belajarbarengs.web.app

Cara Mengerjakan Pecahan Senilai Kelas 4 Sd Guru Ilmu Sosial
www.ilmusosial.id

Pengertian Dan Cara Menentukan Pecahan Senilai
mafia.mafiaol.com

Https Journal Unnes Ac Id Nju Index Php Kreano Article Download 1495 1619

Rpp Daring Kelas 4 Matematika Materi Pecahan Senilai Android Hijau
www.androidhijau.com

Pecahan Peragaan Pecahan Ppt Download
slideplayer.info

Pecahan Peragaan Pecahan Ppt Download
slideplayer.info

Pengertian Dan Cara Menentukan Pecahan Senilai Contoh Soal Dan Pembahasan Materi Smp Blog Mtk Smp
math4junior.blogspot.com

Berbagainfo Pembelajaran Pecahan
berbagainfo12.blogspot.com

Matematika Kurikulum 2013 Kelas 4 Pages 51 100 Flip Pdf Download Fliphtml5
fliphtml5.com

Contoh Soal Uts Matematika Kelas 4 Kurikulum 2013 Sekolahdasar Net
www.sekolahdasar.net

Pecahan
www.slideshare.net

8 Prota Matematika Kelas 4 Sm1 Rev 2017 Websiteedukasi Com
id.scribd.com

Rpp Matematika Kelas 4 Sd K13 Revisi 2017 Terbaru Pecahan Senilai Doc
id.123dok.com

Pemanfaatan Alat Peraga Matematika Dalam Pembelajaran Di Sd
www.slideshare.net

Pengertian Dan Cara Menentukan Pecahan Senilai
mafia.mafiaol.com

Menentukan Pecahan Dari Bangun Yang Diarsir Youtube
www.youtube.com

Contoh Soal Matematika Kelas 4 Pecahan Senilai Kumpulan Soal Pelajaran 7
soalujian-77.blogspot.com

Pembelajaran Operasi Hitung Perkalian Pembagian Pecahan Di Sd
www.slideshare.net

Ppt Pembelajaran Matematika Di Sd Powerpoint Presentation Free Download Id 5368427
www.slideserve.com

Contoh Soal Matematika Kelas 4 Pecahan Senilai Kumpulan Soal Pelajaran 7
soalujian-77.blogspot.com

Pecahan Senilai Dengan 1 4 Dgn Cara Brainly Co Id
brainly.co.id

Silabus Matematika 4
id.scribd.com

Rangkuman Dan Soal Operasi Hitung Pecahan Materi Belajar Dari Rumah Tvri Kelas 4 6 Sd Semua Halaman Bobo
bobo.grid.id

Pelajaran Soal Rumus Pecahan Senilai Wardaya College
www.wardayacollege.com

Pembelajaran Operasi Pecahan Dengan Cuisenaire Rods Pdf Download Gratis
docplayer.info

Contoh Soal Pecahan Kelas 4 Kurikulum 2013 Kumpulan Soal Pelajaran 8
soalujian-78.blogspot.com

Https Encrypted Tbn0 Gstatic Com Images Q Tbn 3aand9gctp9rdllosivgkkltstw Votzpqivujpw8mznj Qkmzz2xjp Xw Usqp Cau
encrypted-tbn0.gstatic.com

Soal Ulangan Pts Matematika Kelas 4 Semester 1 Sekolahdasar Net
www.sekolahdasar.net

Pecahan Senilai Dan Cara Menentukan Pecahan Senilai Tips Belajar Matematika
www.tipsbelajarmatematika.com

Pembelajaran Operasi Hitung Perkalian Pembagian Pecahan Di Sd
www.slideshare.net

Contoh Rpp Matematika Kelas 4 Semester 1 Kurikulum 2013 Info Pendidikan Terbaru
www.guru-id.com

Membandingkan Bilangan Pecahan Menggunakan Fraction Circle Terhadap Pemahaman Konsep Siswa Pdf Download Gratis
docplayer.info

Pengertian Dan Cara Menentukan Pecahan Senilai Berpendidikan Com
www.berpendidikan.com

Cara Mengerjakan Pecahan Senilai 13 Guru Ilmu Sosial
www.ilmusosial.id

Rpp Siklus Ii Tema 3
www.slideshare.net

Cara Mengerjakan Pecahan Senilai Guru Ilmu Sosial
www.ilmusosial.id

Rpp Mapel Matematika K4 S1
docs.google.com

Contoh Soal Pecahan Kelas 4 Kurikulum 2013 Kumpulan Soal Pelajaran 8
soalujian-78.blogspot.com

Pecahan 3 Pecahan Senilai Youtube
www.youtube.com

Modul Matematika Kelas Iv Pecahan Senilai Pdf Modul Matematika Kelas Iv Sd Mi Untuk Kelas Iv Sd Mi Oleh Yemima Christiani Pendidikan Guru Sekolah Course Hero
www.coursehero.com

Pecahan Senilai Soal Matematika Kelas 4 Pecahan Desimal
belajarbarengs.web.app

close