Belajar Itu Mudah

Berturut Turut Adalah


Soal Dan Pembahasan Suku Banyak
www.slideshare.net

Kunci Jawaban Diberikan Suatu Persegi Panjang Abcd E Dan F Berturut Turut Adalah Titik Tengah Dari Ab Dan Cb Jika Luas Yang Diarsir Adalah 7 Cm2 Rofa Education Centre
rofaeducationcentre.blogspot.com

Nama Iupac Dari Rumus Struktur Senyawa Karbon Tersebut Berturut Turut
struktur.shareinspire.me

Lingkaran Matematika Kelas 8 Bse K13 Rev 2017 Uk 7 Pg No 11 Jarak Dua Lingkaran Jika Garis Singg Youtube
m.youtube.com

Solved 91 Mon 10 45 Q Safari Fle Edit View History Bookm Chegg Com
www.chegg.com

Nilai A Dan K Berturut Turut Adalah Brainly Co Id
brainly.co.id

Pemurnian Syariat Puasa Tiga Bulan Berturut Turut Adalah Dari Hadith Palsu Youtube
www.youtube.com

Bank Teraman Di Asia Selama 11 Tahun Berturut Turut Adalah Dbs
medha.id

3 Menu 3 Hari Berturut Turut Katerer Mengaku Perlu Kuat Siapkan Menu Terakhir Ditempah Faziani Kali Ini Saya Nak Buat Dengan Air Tangan Sendiri Semasa Mstar
www.mstar.com.my

Bale Tantangan Memenangkan Tiga Champions Berturut Turut Adalah Motivasi Terbesar Real Madrid Cf
www.realmadrid.com

Covid 19 61 500 Kes Baharu Di India Dalam Tempoh 24 Jam Astro Awani
www.astroawani.com

Berapa Harga Ph Sampel Limbah X Dan Y Berturut Turut Mas Dayat
www.masdayat.net

Air Laut Surut Dan Gempa Berturut Turut Adalah Pertanda Besar Tsunami Kaskus
www.kaskus.co.id

Kunci Jawaban Berikut Ini Bagian Bagian Akar Yang Dilalui Oleh Air Tanah Secara Berturut Turut Adalah Rofa Education Centre
rofaeducationcentre.blogspot.com

Oppo Teguh Di Pasaran Malaysia Berturut Turut Duduki Senarai Kedua
www.bharian.com.my

Suzhou Otten Electronic Technology Co Ltd Telah Dianugerahkan Gelaran Penyimpanan Kontrak Dan Menghormati Kredit Di Wilayah Jiangsu Selama 6 Tahun Berturut Turut Berita Suzhou Aoteng Electron Technology Co Ltd
my.aotengdetector.com

Berikut Ini Adalah Gambar Pembelahan Sel Pada Hewan Secara Meiosis Tahapan Yang Ditunjukkan Pada Gambar A B C Secara Berturut Turut Adalah
www.utakatikotak.com

Surat Pekeliling Ikhtisas Bil 7 2003 Kuasa Ponteng Sekolah Berterusan Berturut Turut Selama 30 Hari Atau Berkala Tidak Berturut Turut Selama 60 Hari Selama 1 Tahun Sesi Persekolahan
dokumen.tips

Sbmptnfess On Twitter Tanyadong Hi Ada Yg Tau Polanya
twitter.com

Algebra 2020 Artikel Yang Menarik
ms.howtodoiteasy.com

Covid19sarawak Tiada Kes Direkodkan Dua Hari Berturut Turut Tvs Tvsarawak
tvsarawak.com

Pojh2cy7uo Gzm

Jumlah Proton Elektron Neutron Suatu Atom Idschool
idschool.net

Air Laut Surut Dan Gempa Berturut Turut Adalah Pertanda Besar Tsunami
www.idntimes.com

Quizz 1 T0074 Diketahui Titik Awal Dan Akhir Sebuah Garis Berturut Turut Adalah 2 1 Dan 5 7 Bila Persamaan Garis Direpresentasikan Oleh Persamaan Ppt Download
slideplayer.info

Berikut Ini Adalah Gambar Pembelahan Sel Pada Hewan Secara Meiosis Tahapan Yang Ditunjukkan Pada Gambar A B C Secara Berturut Turut Adalah Utakatikotak Com
m.utakatikotak.com

Luas Dan Keliling Bangun Datar Di Samping Berturut Turut Adalah Tolong Di Bantu
id-eduanswers.com

Dua Kali Lebih Besar Dua Bulat Berturut Turut Adalah 9 Kurang Daripada Tiga Kali Integer Yang Lebih Rendah Apakah Bilangan Bulat 2020 Go Homework
ms.go-homework.com

Menang Dengan Empat Berturut Turut Tips 2020
ms.wikicell.org

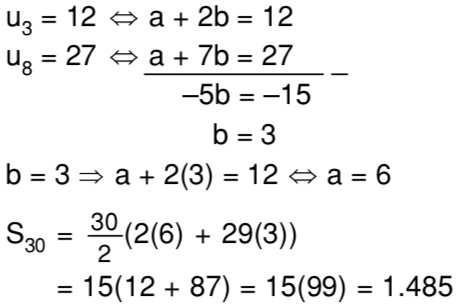
Suku Ketiga Dan Suku Kedelapan Dari Suatu Deret Aritmetika Berturut Turut Adalah 12 Dan 27 Jumlah 30 Mas Dayat
www.masdayat.net

7 Kejuaraan Berturut Turut Untuk Kekal Megah Di Puncak Team Secret Juarai Omega League Europe Immortal Division Meta My
meta.my

Dki Jakarta Raih Wtp 3 Kali Berturut Turut Anies Ini Kado Terbaik
www.matain.id

Limas Segitiga P Abc Titik K L M Berturut Turut Adalah Titik Tengah Titik Tengah Pa Pb Dan Pc Dibuat Pdf Document
vdokumen.net

Dap Malaysia Ipo Kurang Daripada 10 Untuk Enam Tahun Berturut Turut Pdrm Adalah Kunci Utama Bagi Mangsa Keganasan Rumah Tangga Untuk Dapatkan Ipo
dapmalaysia.org

3 Kali Kemenangan Berturut Turut 100 Gg Gl Fun88 Fun88garudaleague Dota Dotaindo Dotaindonesia In 2020 Signup Accounting Signs
www.pinterest.com

Pekeliling Perkhidmatan Bilangan 7 Tahun Tempoh 30 Hari Berturut Turut Adalah Termasuk Semua Jenis Cuti Bergaji Penuh Semua Jenis Cuti Separuh Gaji Semua Jenis Cuti Tanpa Gaji Pdf Document
fdokumen.site

Menang Emas 10 Kali Berturut Turut Peringkat Kebangsaan Tahniah Guru Pembimbing Selangor Gps Bestari
www.gpsbestari.com

Malaysia Duduki Majlis Icao Empat Penggal Berturut Turut Astro Awani
www.astroawani.com

Pertempuran Berturut Turut Tata Adalah Pertanda Untuk Firma Keluarga Di Asia Perniagaan Ekonomi 2020
may.acousticbiotech.com

Barisan Ips
fr.scribd.com

Semua Logam Shooting Mainan Dengan Karet Gelang Yang Bisa Menembak Hingga 12 Kali Berturut Turut Adalah Favorit Outdoor Pecinta Mainan Senjata Mainan Aliexpress
id.aliexpress.com

Pp062017 Flip Book Pages 1 6 Pubhtml5
pubhtml5.com

Fungsi Bagian Yang Ditunjukkan Oleh Huruf M Dan N Secara Berturut Turut Adalah
id-eduanswers.com

A Pilihan Ganda Bagian X Dan Y Secara Berturut Turut Adalah A Satelit Lengan Kromosom B Satelit Pdf Document
fdokumen.com

Covid19sarawak Kekal Sifar Kes Positif Untuk Lima Hari Berturut Turut Tvs Tvsarawak
tvsarawak.com

Takrif Sudut Berturut Turut Apa Itu Maksud Dan Konsep Saya Mahu Tahu Semuanya 2020
ms.erf-est.org

7 Blog Lbb
lbbku.wordpress.com

Delapan Kali Berturut Turut Raih Opini Wtp Bpk Ri Puji Kinerja Duet Irdinansya Dan Zuldafri Jurnal Sumbar
jurnalsumbar.com

Segitiga Geogebra
www.geogebra.org

Kenali Kereta Dengan Ranking Jualan Tertinggi Di Jepun 3 Tahun Berturut Turut Sembang Auto Com
www.sembang-auto.com

Hasil Bagi Dan Sisa Pembagian X3 2x2 33x 9 Oleh X 7 Berturut Turut Adalah Mas Dayat
www.masdayat.net

Kamerun Berikut Adalah Penyebab Gangguan Berturut Turut Dalam Pengedaran Elektrik Relay Teles
ms.teles-relay.com

Jika A 60 Derajat Nilai A Dan B Berturut Turut Adalah Bantujawabkak Brainly Co Id
brainly.co.id

Air Laut Surut Dan Gempa Berturut Turut Adalah Pertanda Besar Tsunami
www.idntimes.com

Rejim Zionis Lancar Serangan Terhadap Hamas Dua Hari Berturut Turut Media Adil
www.mediaadil.com

Pelabur Asing Pembeli Bersih Saham Tempatan Empat Minggu Berturut Turut
www.bharian.com.my

Qzg4xglpow Pxm

Menang Dengan Empat Berturut Turut Tips 2020
ms.wikicell.org

Covid 19 Tiada Kematian 10 Hari Berturut Turut 51 Kes Pulih Ismaweb
ismaweb.net

Surat Pekeliling Ikhtisas Bil 7 2003 Kuasa Ponteng Sekolah Berterusan Berturut Turut Selama 30 Hari Atau Berkala Tidak Berturut Turut Selama 60 Hari Selama 1 Tahun Sesi Persekolahan
dokumen.tips

Yamaha Juara Suzuka 8 Hours Empat Kali Berturut Turut Dedicate Your Passion
indonesiancrush.com

3 Menu 3 Hari Berturut Turut Katerer Mengaku Perlu Kuat Siapkan Menu Terakhir Ditempah Faziani Kali Ini Saya Nak Buat Dengan Air Tangan Sendiri Semasa Mstar
www.mstar.com.my

Pie Mikro Bab 8 Docx Nama Tika Rianti Sari Nim 371841003 15 19 April 2019 Bab 8 Akuntansi Karyawan B Kuantitatif 1 Misalkan Seorang Konsumen Ingin Course Hero
www.coursehero.com

Nilai X Dan Y Berturut Turut Adalah A 30 Dan 35b 35 Dan 30c 50 Dan 55d 55 Dan 50
idedukasi.id

Perhatikan Gambar Ilustrasi Proses Gametogenesis Berikut Berdasarkan Gambar Yang Ditunjukan Oleh Nomor 2 Dan 4 Berturut Turut Adalah Blog Pak Pandani
pak.pandani.web.id

Plates Toplara A A A Na A A A N Fiyata A A A Salah Satu Klub Yang Juga Baru T Il Di Penyelenggaraan Djarum Superliga Badminton 2014 Dua Tahun Berturut Turut Adalah Hi Qua Wima Surabaya Sc 1 St Hiqua
pezcame.com

Messi Adalah Pemain Terbaik Di Dunia Buat Kali Keempat Berturut Turut
ms.congo-mbclub.org

Kes Discaj Melebihi Kes Baharu Tujuh Hari Berturut Turut Kes Import Kekal Kerisauan Kkm Rnggt
rnggt.com

Https Kppkksm Org My Wp Content Uploads 2019 11 Bantuan Khas Kewangan Tahun 2019 Pdf

12 Barisan Dan Deret Suku Ke 7 Dan Suku Ke 10 Suatu Barisan Geometri Berturut Turut Adalah 6 Dan 96 Suku Ke 5 Barisan Dengan Suku Ke 3 Adalah 8 Dan Suku Ke 5
pdfslide.net

Gambar Sejajar Dengan Tauge Tauhu Bertumbuh Berturut Turut Pucuk Kacang Pucuk Kacang Pucuk Kacang Berdiri Berturut Turut Pucuk Kacang Png Dan Psd Untuk Muat Turun Percuma
ms.pngtree.com

Pekeliling Perkhidmatan Bilangan 7 Tahun Tempoh 30 Hari Berturut Turut Adalah Termasuk Semua Jenis Cuti Bergaji Penuh Semua Jenis Cuti Separuh Gaji Semua Jenis Cuti Tanpa Gaji Pdf Document
fdokumen.site

3 Antonim Berturut Turut Tesaurus Bahasa Indonesia Lektur Id
lektur.id

Nilai X Dan Y Berturut Turut Adalah Brainly Co Id
brainly.co.id

Bs 8 Matematika 1 Ayomadrasah Pages 101 150 Flip Pdf Download Fliphtml5
fliphtml5.com

Lingkaran Matematika Kelas 8 Bse K13 Rev 2017 Uk 7 Pg No 11 Jarak Dua Lingkaran Jika Garis Singg Youtube
m.youtube.com

Belum Lolos Seleksi Prakerja Berturut Turut Berikut Solusi Dan Caranya Mantra Sukabumi
mantrasukabumi.pikiran-rakyat.com

Juarai Liga Super Malaysia Enam Kali Berturut Turut Kami Adalah Yang Terbaik Tmj Harimau Malaya
www.harimaumalaya.bbn.my

Bayangan Pada Titik A
www.scribd.com

Https Kapurtulis11 Files Wordpress Com 2019 12 Lembar Kerja 1 Jarak Antara Dua Titik Pdf

Kemenangan Prk Empat Kali Berturut Turut Jadi Pemangkin Semangat Ke Pau 2019
umno-online.my

Planet Yang Ditunjukkan Angka 1 Dan 2 Berturut Turut Adalah
www.utakatikotak.com

Pin Oleh Citra Dewi Di Soal Kimia Kimia Ipa Pengikut
id.pinterest.com

2

Https Kppkksm Org My Wp Content Uploads 2019 11 Bantuan Khas Kewangan Tahun 2019 Pdf

Luas Keliling Bangun Berikut Berturut Turut Adalah Brainly Co Id
brainly.co.id

Kuala Lumpur Fa Home Facebook
www.facebook.com

Niallhoran S Azaliazhr Twitter
twitter.com

Luas Dan Keliling Bangun Tersebut Berturut Turut Adalah Brainly Co Id
brainly.co.id

Ayunan Yg Mempunyai Periode Dan Frekuensi Terbesar Berturut Turut Adalah
idedukasi.id

Gambar 2 Kurva Pengamatan Diameter Pupil Mata Mencit Kelompok I Xii Download Scientific Diagram
www.researchgate.net

1 A Piping Installation As Can Be Seen In Figure Chegg Com
www.chegg.com

Barisan Geometri Bg By Okti Sri Rahayu Ppt Download
slideplayer.info

Algebra 2020 Artikel Yang Menarik
ms.howtodoiteasy.com

Semua Logam Shooting Mainan Dengan Karet Gelang Yang Bisa Menembak Hingga 12 Kali Berturut Turut Adalah Favorit Outdoor Pecinta Mainan Senjata Mainan Aliexpress
id.aliexpress.com

Https Www Sabah Gov My Ecircular Incoming Jpan Docs Out Jpan000558 Pdf

Ini Adalah Kelas Itaewon Menjadi Topik Trending Selama 3 Minggu Berturut Turut Sehingga Park Seo Joon Kim Dami Menduduki Ranking Tertinggi Sebagai Artis Paling Dibincangkan
tenasiamy.com

Piala Sumbangsih Winning Rate Jdt Adalah 80 Selain Berpeluang Muncul Pasukan Pertama Juara 3 Kali Berturut Turut
www.vocketfc.com

Kunci Jawaban Perhatikan Gerak 4 Benda Berikut Benda Yang Mengalami Gerak Lurus Beraturan Glb Dan Gerak Lurus Berubah Beraturan Glbb Berturut Turut Adalah Rofa Education Centre
rofaeducationcentre.blogspot.com

Covid 19 Thailand Rekod Sifar Kematian 2 Hari Berturut Turut Free Malaysia Today
www.freemalaysiatoday.com

close