Belajar Itu Mudah

Akar Pangkat Dari 243


Hasil Dari 243 Pangkat 1 2 Pangkat 4 5 Brainly Co Id
brainly.co.id

Buku Siswa Matematika Kelas 9 Revisi 2018 Compressed Pages 51 100 Text Version Anyflip
anyflip.com

Materi Matematika Dan Soal Matematika Bilangan Berpangkat Dan Bentuk Akar
matematika-go.blogspot.com

Mntapakr3 Doc Pemantapan 4 Bentuk Pangkat Akar 1sma B Bentuk Akar Menyederhanakan Bentuk Akar Untuk Setiap A Dan B Bilangan Bulat Positif Maka Berlaku Course Hero
www.coursehero.com

Pangkat 3 Akar 243 Kali Pangkat 7 Akat 128 Brainly Co Id
brainly.co.id

Kunci Jawaban Tuliskan Dalam Bentuk Pangkat Paling Sederhana A 243 20 B 500 9 C 50 625 D 49 686 Rofa Education Centre
rofaeducationcentre.blogspot.com

Bag 1 Bag 1
de.scribd.com

Bilangan Berpangkat Dan Bentuk Akar Dari 5184 Dapat Dicari Dengan Arti Pangkat Tiga Suatu Bilangan Adalah Hasil Perkalian Tiga Factor Yang Masing Masing Bilangan Dibaca Akar Pdf Document
fdokumen.com

Kunci Jawaban Tuliskan Dalam Bentuk Pangkat Paling Sederhana A 243 20 B 500 9 C 50 625 D 49 686 Rofa Education Centre
rofaeducationcentre.blogspot.com

Nilai N Perpangkatan Eksponensial Bse Matematika Kelas 9 K13 Uk 1 No 16 Youtube
www.youtube.com

Kunci Jawaban Tuliskan Dalam Bentuk Pangkat Paling Sederhana A 243 20 B 500 9 C 50 625 D 49 686 Rofa Education Centre
rofaeducationcentre.blogspot.com

Hasil Dari 4 Pangkat 3 Per 2 Dikali 243 Pangkat 2 Per 5 Adalah Brainly Co Id
brainly.co.id

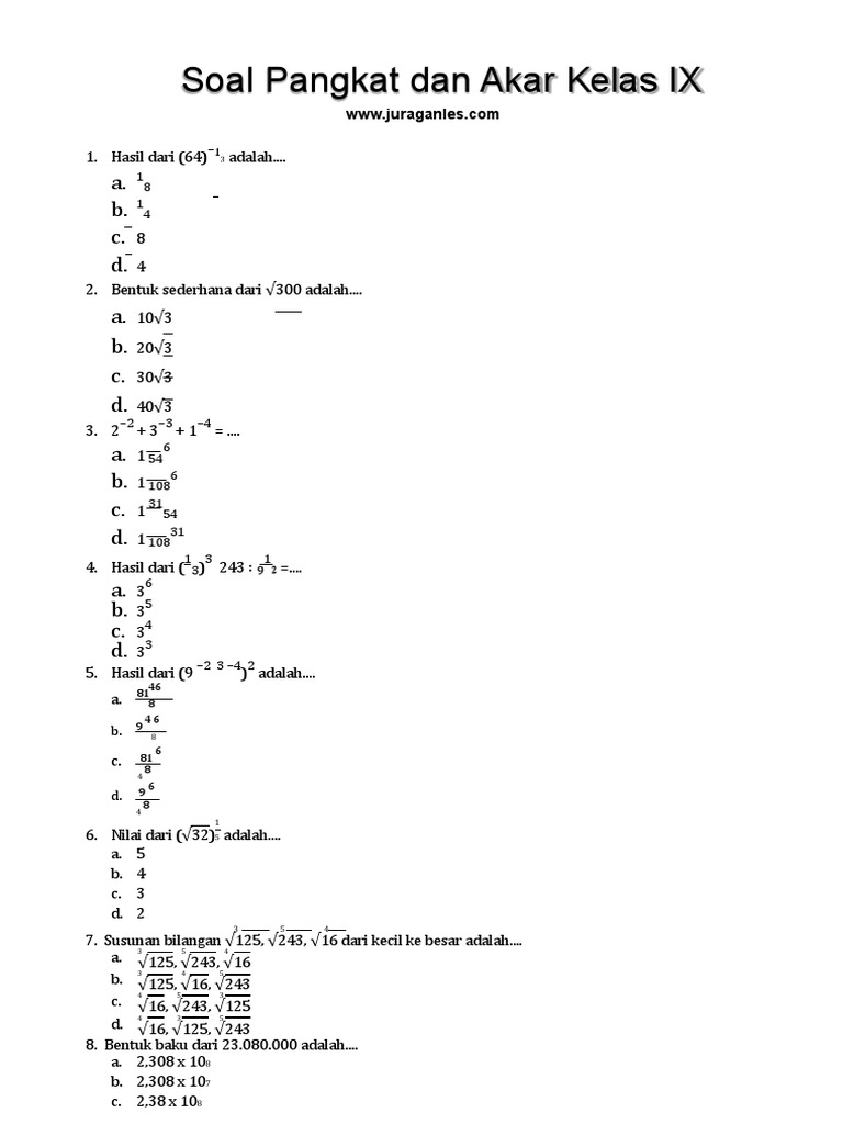
Contoh Soal Pangkat Dan Akar Kelas 9 Smp Plus Kunci Jawaban Juragan Les
www.juraganles.com

Kelas10 Sma Matematika
www.slideshare.net

Hasil Akar 64 Akar 243 Pangkat 5 Akar 625 Pangkat 4 Brainly Co Id
brainly.co.id

Akar Pangkat 2 Cara Menghitung Akar Kuadrat Dan Contohnya
www.advernesia.com

Math 9 Pangkat Bentuk Akar
id.scribd.com

Persamaan Dan Pertidaksamaan
studylibid.com

Matematika Kelas 9 Perpangkatan Dan Bentuk Akar Portal Edukasi
portaledukasi.org

Eksponensiasi Wikipedia Bahasa Indonesia Ensiklopedia Bebas
id.wikipedia.org

Soal Latihan Matematika Kelas 5 Akar Pangkat 3 Guru Ilmu Sosial
www.ilmusosial.id

Hasil Dari 4 3 5 12 3 75 243 Adalah Brainly Co Id
brainly.co.id

Cara Menentukan Satuan Bilangan Berpangkat Idschool
idschool.net

Bentuk Logaritma Dari 3 Pangkat 9 2 Akar 243 Brainly Co Id
brainly.co.id

Sederhanakan Bentuk Akar Dari 5 3 243 12 Brainly Co Id
brainly.co.id

Cube Root Calculator Aplikasi Di Google Play
play.google.com

5 Akar 243 2 Akar 27 Akar 75 3 Akar 48 Brainly Co Id
brainly.co.id

Mtk Docx
id.scribd.com

Akar Pangkat 2 Cara Menghitung Akar Kuadrat Dan Contohnya
www.advernesia.com

Cara Menghitung Bilangan Pangkat Dan Akar Pada Excel 2007
id.scribd.com

Sederhanakan Soal Soal Seperti Berikut Akar Dari 108 Akar Dari 294 Akar Dari 250 Akar Dari 180 Youtube
www.youtube.com

Ucun 1 Prov Dki Matematika Paket B 18 02 2014
www.slideshare.net

Sebutkan Bentuk Akar Dari 243 Pangkat 1 Per 5 Brainly Co Id
brainly.co.id

Modul Bahan Ajar Bilangan Berpangkat2012
www.slideshare.net

Soal Pangkat Dan Akar Kelas 9
id.scribd.com

Angka Dan Bilangan
www.slideshare.net

Soal Uh Akar Pangkat Tiga Center Soal
centersoal.blogspot.com

Nilai Dari 27 Pangkat 2 3 64 Pangkat 1 3 1 243 Pangkat 2 5 Adalah Brainly Co Id
brainly.co.id

Akar Pangkat 2 Cara Menghitung Akar Kuadrat Dan Contohnya
www.advernesia.com

Cara Mengerjakan Akar Pangkat 3 Dari 13824 Guru Ilmu Sosial
www.ilmusosial.id

Akar Pangkat Dua Aplikasi Di Google Play
play.google.com

Soal Pangkat Dan Akar Kelas 9
studylib.net

Bentuk Pangkat Pecahan Dari Akar 125 Adalah Youtube
m.youtube.com

Pangkat Eksponen Integer Daftar Eksponensial Bilangan Bulat Dan Contoh
www.pinterpandai.com

Akar Pangkat 2 Cara Menghitung Akar Kuadrat Dan Contohnya
www.advernesia.com

Trik Akar Pangkat 5 Eman Mendrofa
emanmendrofa.blogspot.com

Dapatkan Nilai N Dari Persamaan A 3n 243 B 2 Pangkat N Tambah Satu 1 16 Youtube
www.youtube.com

Tutorial Menjawab Soal Matematika Kelas 9 Smp Aturan Dasar Bilangan Berpangkat Your Chemistry A
www.avkimia.com

Cara Mengerjakan Akar Pangkat 3 Dari 13824 Guru Ilmu Sosial
www.ilmusosial.id

Bentuk Akar Dan Logaritma Powerpoint Presentation Free Online Download Ppt Y2tgkq
smackslide.com

1 Pangkat Akar Dan Logaritma Juxhcfrwejkfxcnhwermkjfhxlkmfh Pdf Document
fdokumen.com

Nilai Dari 243 Pangkat 3 5 125 Pangkat 2 5 64 Pangkat 5 6 Tolong Dijawab Ya Brainly Co Id
brainly.co.id

Bagaimanakah Cara Kalkulator Mencari Nilai Akar Kuadrat Suatu Bilangan Ilmu Hitung
ilmuhitung.com

3 Cara Mudah Menentukan Akar Pangkat Tiga Bilangan Bulat Contoh Soal Dan Pembahasan Materi Smp Blog Mtk Smp
math4junior.blogspot.com

Index Of Wp Content Uploads 2019 10
idschool.net

Neptunhis Blog
neptunhis.weebly.com

Cara Mengerjakan Akar Pangkat 3 Dari 13824 Guru Ilmu Sosial
www.ilmusosial.id

Pas Mat Ix Smt 1 2018 Rev
id.scribd.com

Akar Pangkat 2 Cara Menghitung Akar Kuadrat Dan Contohnya
www.advernesia.com

Cara Mencari Akar Pangkat 3 Suatu Bilangan Kubik Dengan Faktorisasi Prima Pohon Faktor Idn Paperplane
idn.paperplane-tm.site

Akar Kuadrat Dari 96 Adalah Youtube
www.youtube.com

Bab I Web View1 1 Bentuk Akar Bentuk Akar Adalah Akar Dari Bilangan Rasional Yang Hasilnya Merupakan
pdfslide.tips

Modul Bahan Ajar Bilangan Berpangkat2012
www.slideshare.net

Kisi Kisi Soal Dan Kunci Jawaban Matematika Smp Kelas 9 Pas Semester Ganjil Didno76 Com
www.didno76.com

Akar Pangkat 2
id.scribd.com

243 Pangkat 2 Pangkat 1 5 Brainly Co Id
brainly.co.id

Akar Pangkat 2 Cara Menghitung Akar Kuadrat Dan Contohnya
www.advernesia.com

Suku Ke 5 Dari Barisan Geometri Adalah 243 Smatematika Com
www.smatematika.com

Bab 1 Perpangkatan Dan Bentuk Akar
fr.scribd.com

Jawaban Buku Matematika Kelas 9 Uji Kompetensi 1 Perpangkatan Dan Bentuk Akar Hal 58 Pentium Sintesi
pentiumsintesi.blogspot.com

1 3 Pangkat 5x 243 2 32 Akar 4 Pangkat X 5 8 3 8 Akar X Pangkat 1 4 Pangkat 3x 2 Brainly Co Id
brainly.co.id

Mntapakr2 Doc Pemantapan 3 Bentuk Pangkat Akar B Bentuk Akar Menyederhanakan Bentuk Akar Untuk Setiap A Dan B Bilangan Bulat Positif Maka Berlaku Course Hero
www.coursehero.com

Soal Mat Akar
id.scribd.com

Ubah Kebentuk Pangkat Pecahan 3 Akar 32 Dan 4 Akar 243 Brainly Co Id
brainly.co.id

Faktor Prima Dan Otorisasi Dari Bilangan 243 Youtube
www.youtube.com

Os2kangkung Soal Dan Pemb Un Matematika Bab Bentuk Pangkat Akar Dan Logaritma Matematika Kiat Belajar Buku
co.pinterest.com

Cara Mengerjakan Bilangan Berpangkat Besar Guru Ilmu Sosial
www.ilmusosial.id

Bentuk Pangkat Akar Dan Logaritma
www.slideshare.net

Smk Mak Kelas X Semester 1 Ppt Download
slideplayer.info

Matematika Sma Bentuk Pangkat Dan Bentuk Akar Chafia Science
chafias.com

Akar Pangkat 2 Cara Menghitung Akar Kuadrat Dan Contohnya
www.advernesia.com

Kunci Jawaban Tuliskan Dalam Bentuk Pangkat Paling Sederhana A 243 20 B 500 9 C 50 625 D 49 686 Rofa Education Centre
rofaeducationcentre.blogspot.com

Hasil Dari Akar Pangkat 3 Dari 64 Akar Pangkat 5 Dari 32 Youtube
m.youtube.com

Cube Root Calculator Aplikasi Di Google Play
play.google.com

Menentukan Akar Kuadrat Pendidikan Matematika
yos3prens.wordpress.com

Berapakah Akar Dari 243 Youtube
www.youtube.com

Kk B Kajian Bilangan Dan Statistika Sd Tinggi Kk B
www.slideshare.net

Bab 1 Bilangan Bulat Asimtot S Blog Dalam Pemecahan Masalah Bab 1 2 Bab 1 Bilangan Bulat Kuadrat Pangkat Tiga Akar Kuadrat Dan Akar Pangkat Tiga Pdf Document
vdokumen.com

Bentuk Pangkat Akar Dan Logaritma Erwin Fajri
erwinfajri26.wordpress.com

Materi Uan Sma Ips Matematika Pangkat Akar Dan Logaritma
www.slideshare.net

Soal Pangkat Dan Akar Kelas 9
id.scribd.com

Pelajaran Soal Rumus Bentuk Pangkat Pecahan Wardaya College
www.wardayacollege.com

Bab Bentuk Pangkat Akar Dan Logaritma
studylibid.com

Bab I Perpangkatan Dan Bentuk Akar Smp Kelas 9 Bentuk Akar 1 1 Menghargai Dan Menghayati Ajaran Pdf Document
fdokumen.com

Hasil Dari 81 Pangkat 1 4 X 4 Pangkat 3 2 Youtube
m.youtube.com

Hasil Dari 1 Per 3 Pangkat 3 Dikali 243 Dibagi 1 Per 9pangkat2 Brainly Co Id
brainly.co.id

3 Bentuk Akar Menyederhanakan Bentuk Akar
id.scribd.com

Akar Pangkat 2 Cara Menghitung Akar Kuadrat Dan Contohnya
www.advernesia.com

Bse Matematika Smk Bisnis Dan Manajemen 1
www.slideshare.net

Cara Mengerjakan Bilangan Berpangkat Besar Guru Ilmu Sosial
www.ilmusosial.id

close